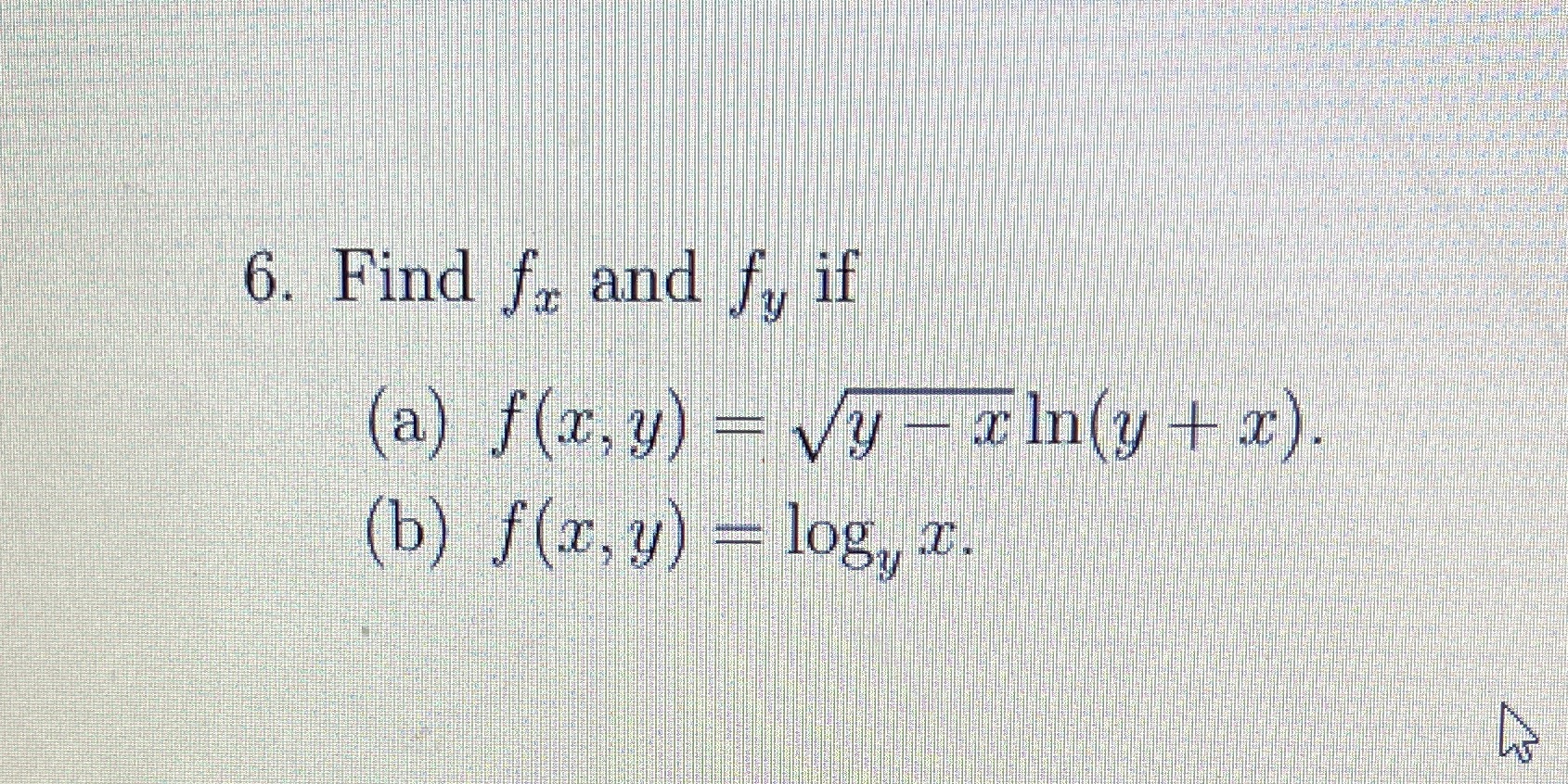
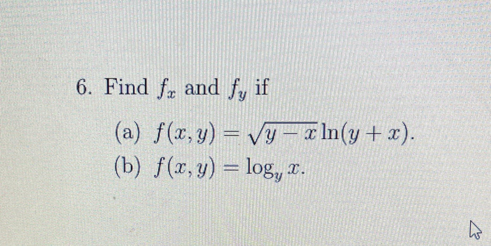
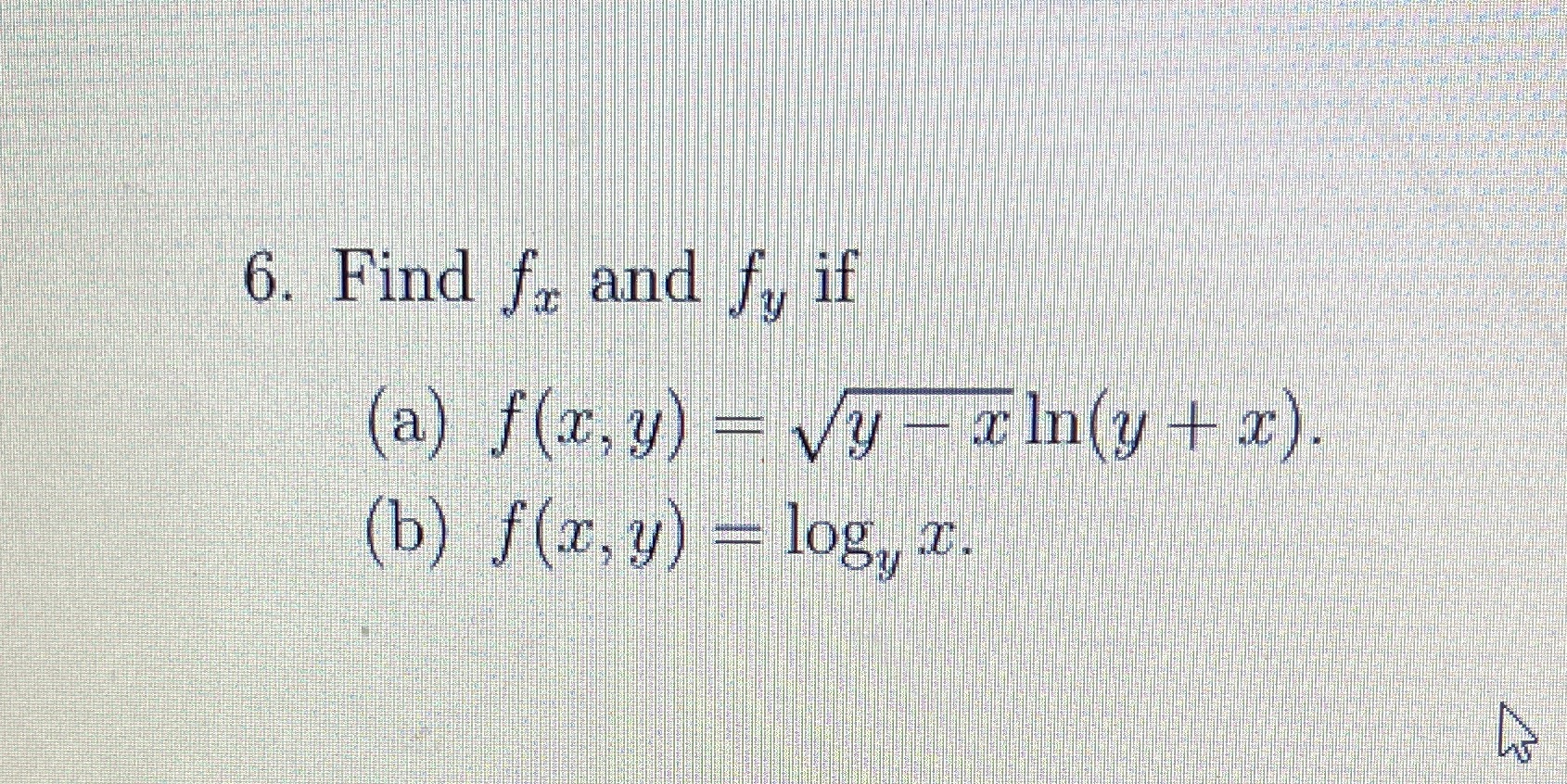
Mathematics Questions and Answers June 17, 2020

Expert-verified solutions to help you succeed

Showing 600 - 700 of 1501
  • 7 / 16