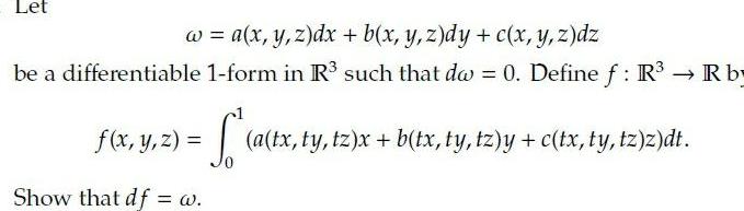
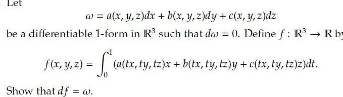
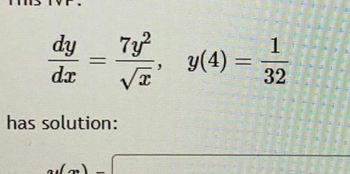
Mathematics Questions and Answers June 20, 2020

Expert-verified solutions to help you succeed

Showing 300 - 400 of 1501
  • 4 / 16