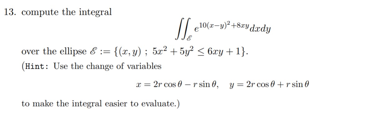
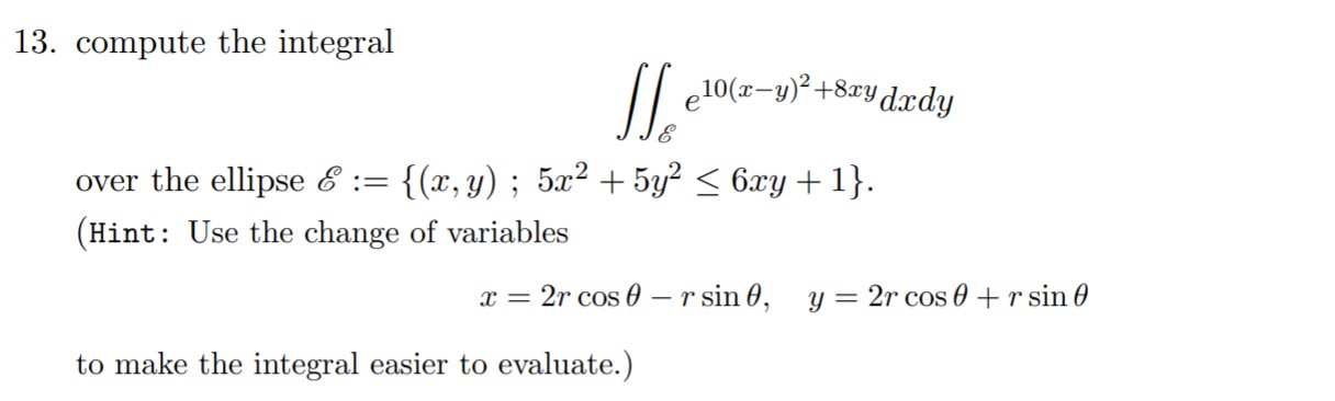
Mathematics Questions and Answers May 06, 2020

Expert-verified solutions to help you succeed

Showing 600 - 700 of 1502
  • 7 / 16