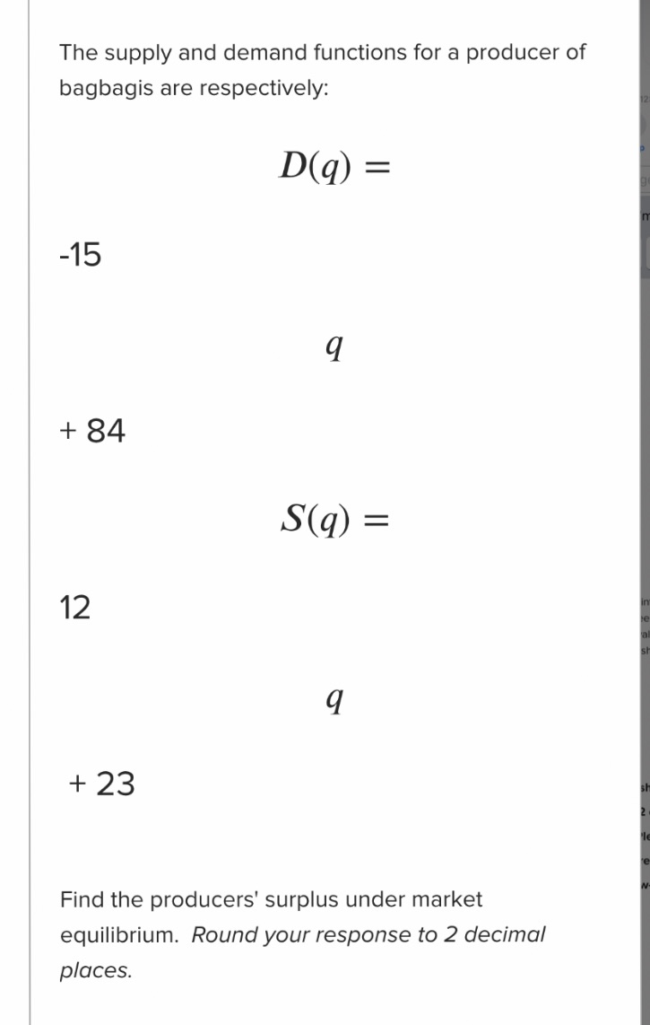
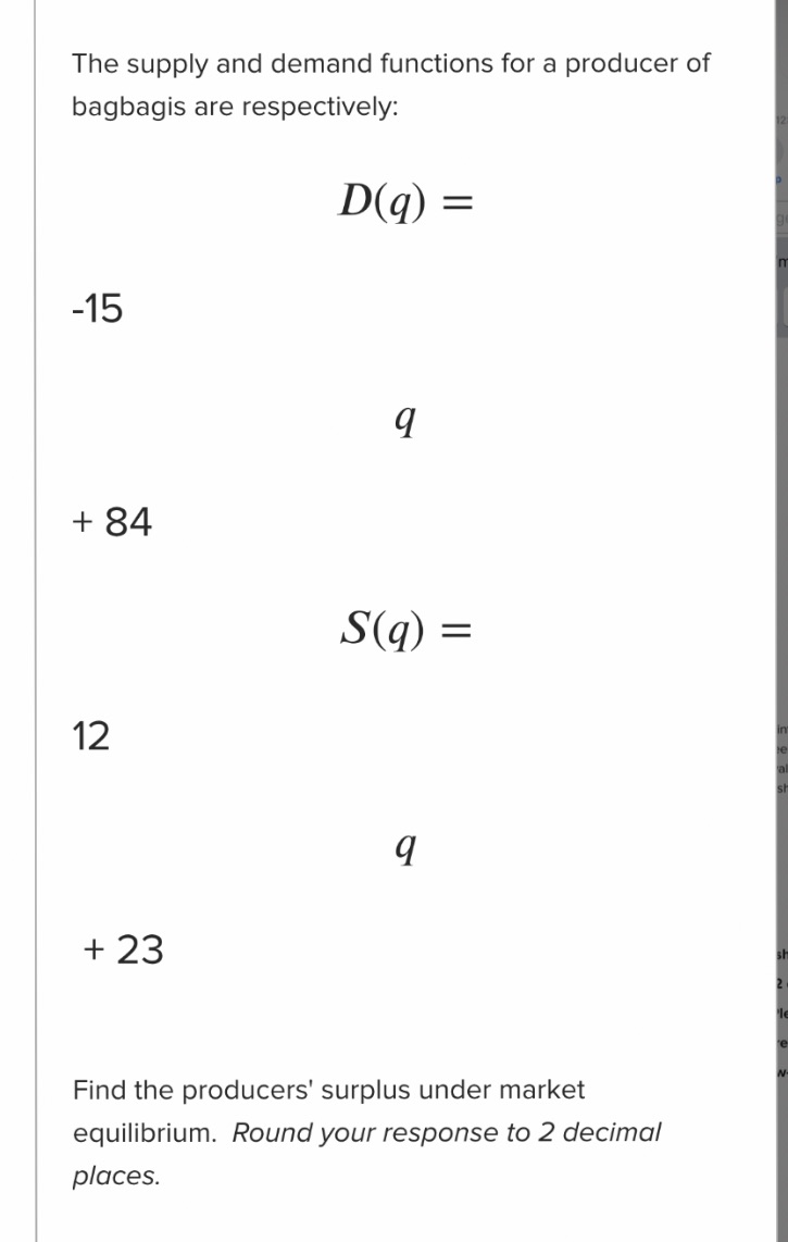
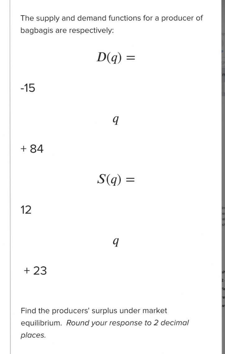
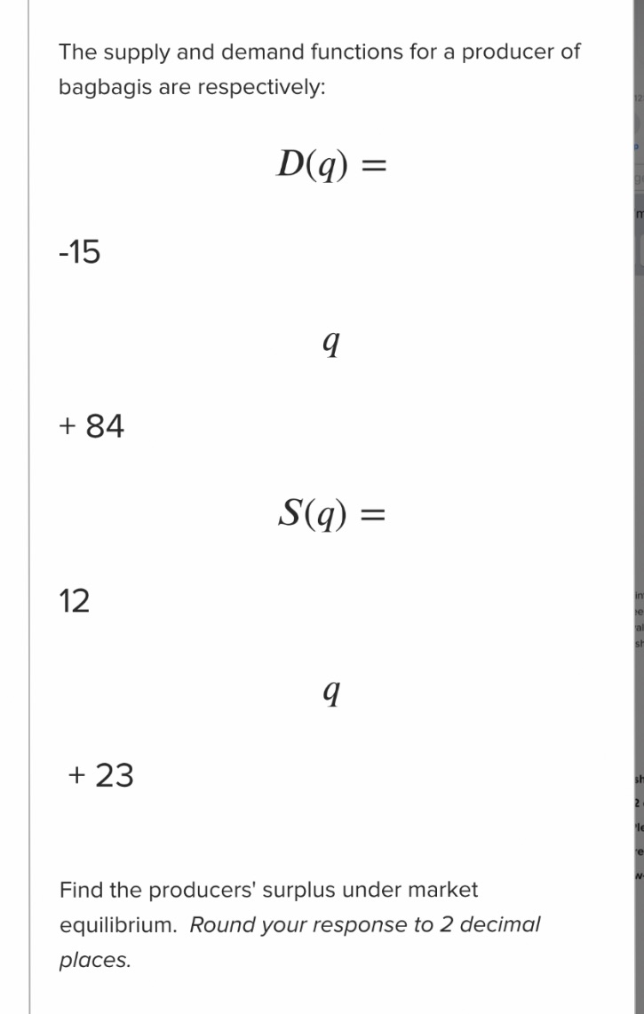
Mathematics Questions and Answers May 11, 2020

Expert-verified solutions to help you succeed

Showing 900 - 1000 of 1505
  • 10 / 16