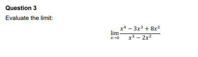
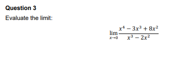
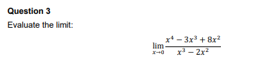
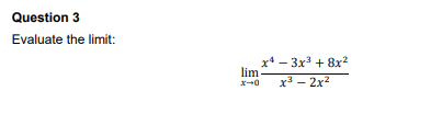
Mathematics Questions and Answers May 30, 2020

Expert-verified solutions to help you succeed

Showing 500 - 600 of 1502
  • 6 / 16