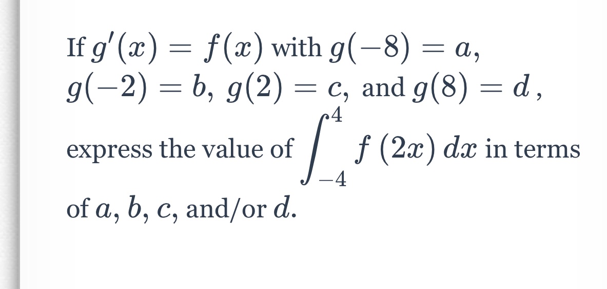
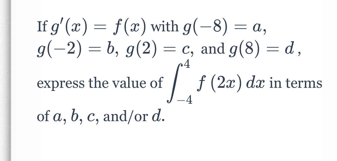
Mathematics Questions and Answers November 12, 2020

Expert-verified solutions to help you succeed

Showing 100 - 200 of 1503
  • 2 / 16