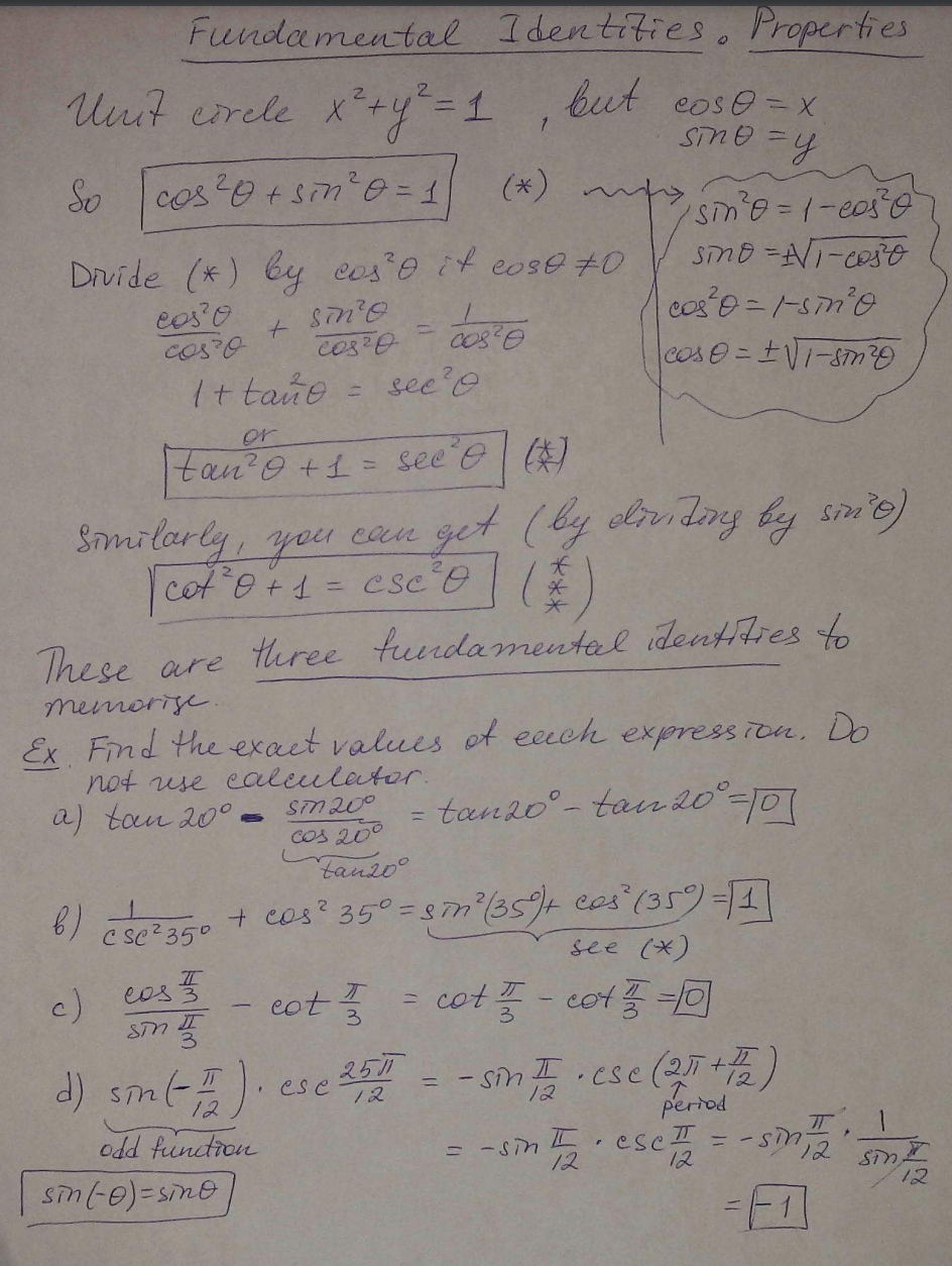
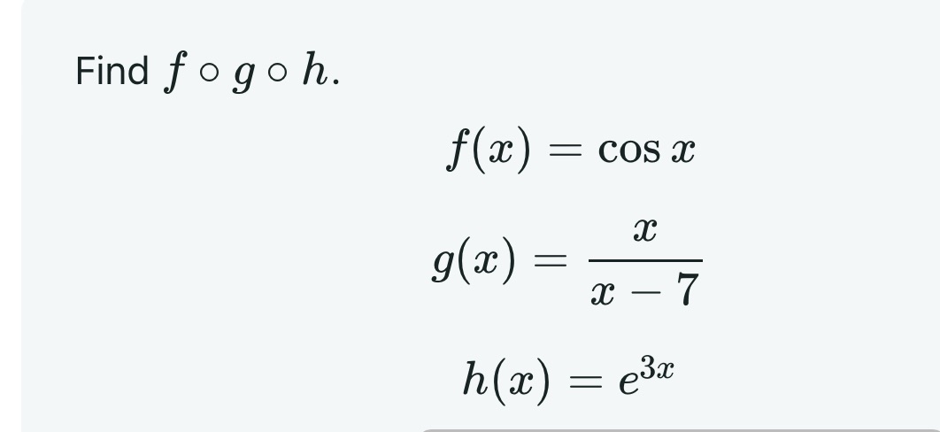
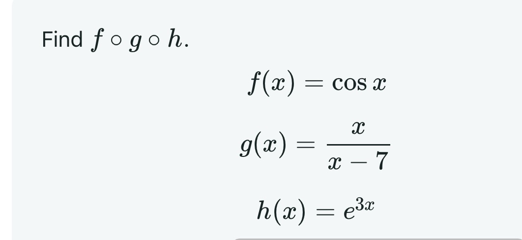
Mathematics Questions and Answers November 15, 2020

Expert-verified solutions to help you succeed

Showing 200 - 300 of 1500
  • 3 / 15