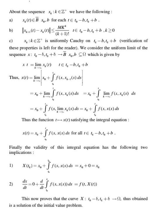
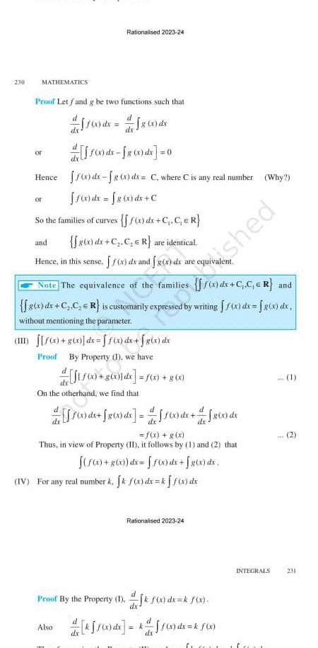
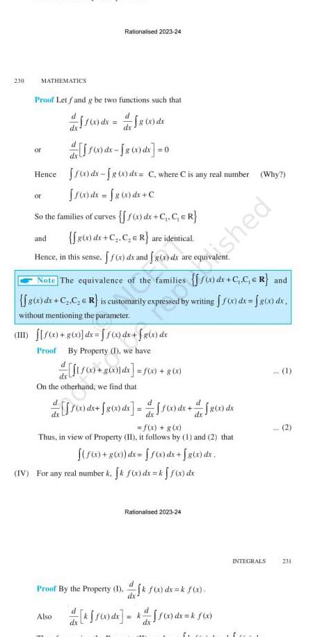
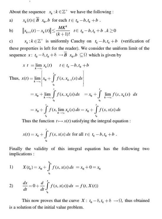
Mathematics Questions and Answers October 04, 2020

Expert-verified solutions to help you succeed

Showing 100 - 200 of 1498
  • 2 / 15