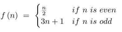
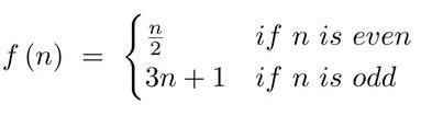
Mathematics Questions and Answers October 06, 2020

Expert-verified solutions to help you succeed

Showing 100 - 200 of 1505
  • 2 / 16