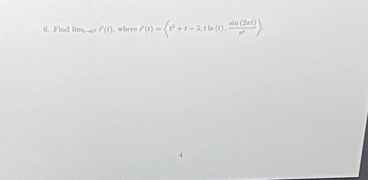
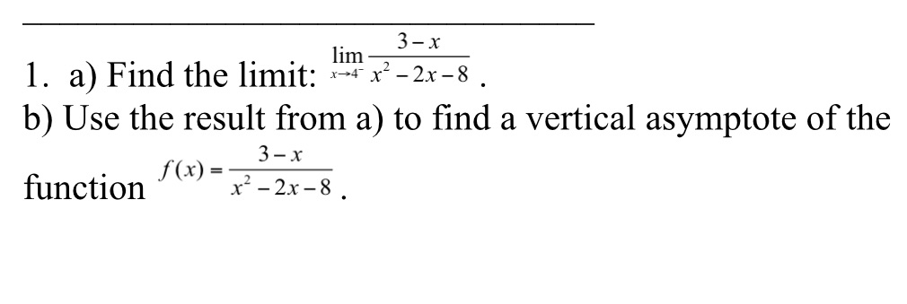
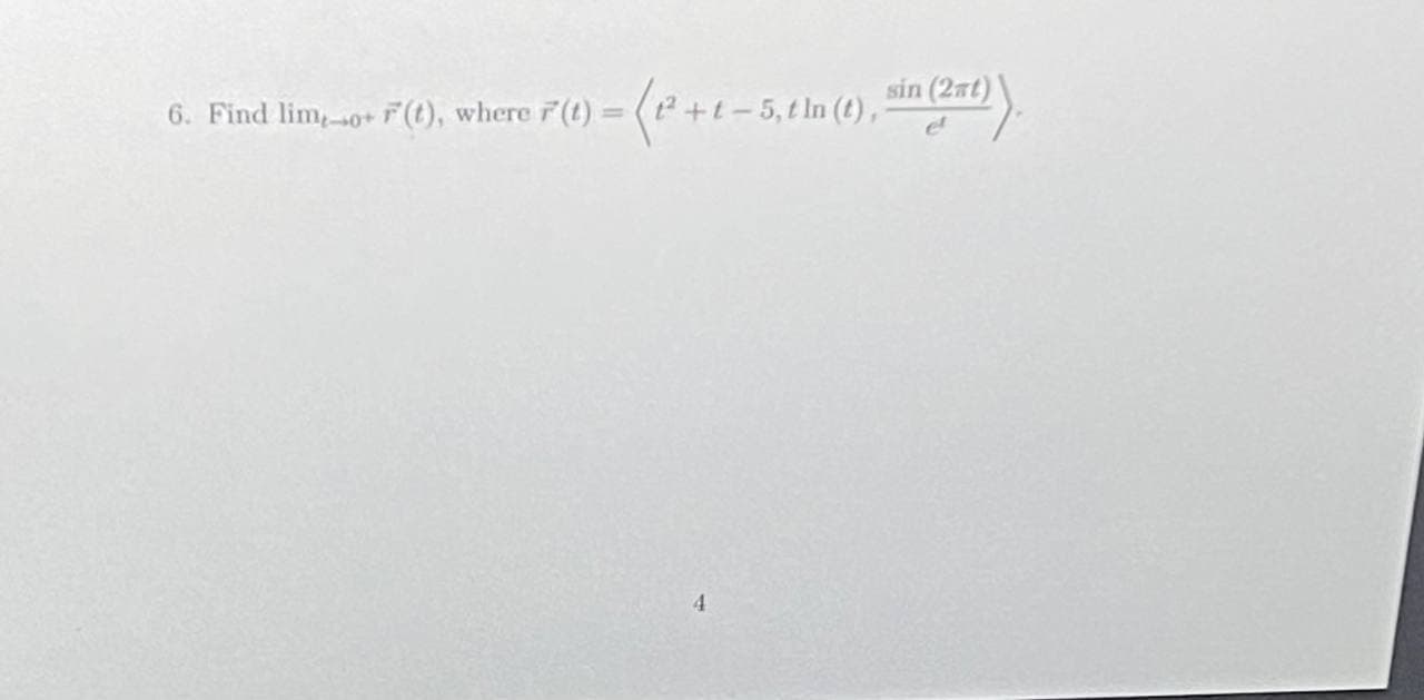
Mathematics Questions and Answers October 09, 2020

Expert-verified solutions to help you succeed

Showing 1100 - 1200 of 1503
  • 12 / 16