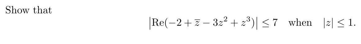
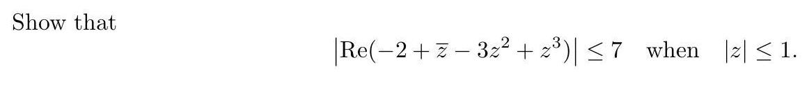
Mathematics Questions and Answers October 09, 2020

Expert-verified solutions to help you succeed

Showing 300 - 400 of 1503
  • 4 / 16