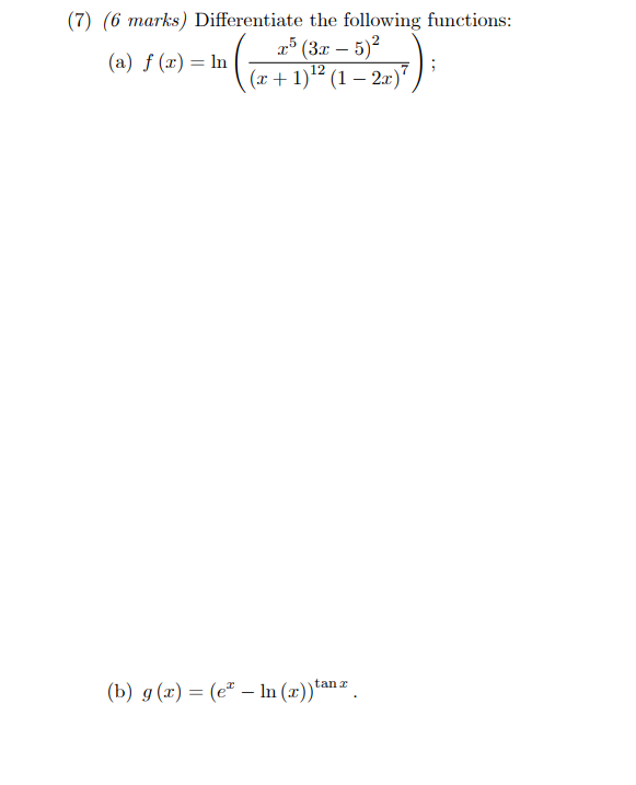
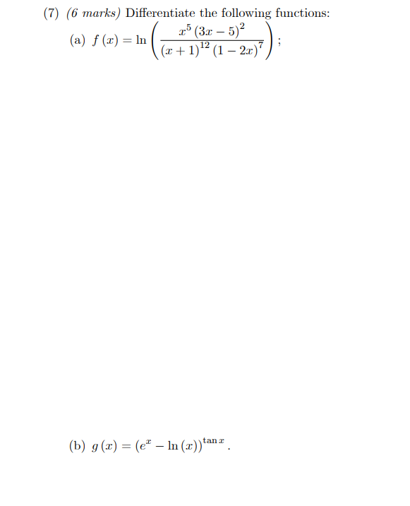
Mathematics Questions and Answers October 21, 2020

Expert-verified solutions to help you succeed

Showing 400 - 500 of 1504
  • 5 / 16