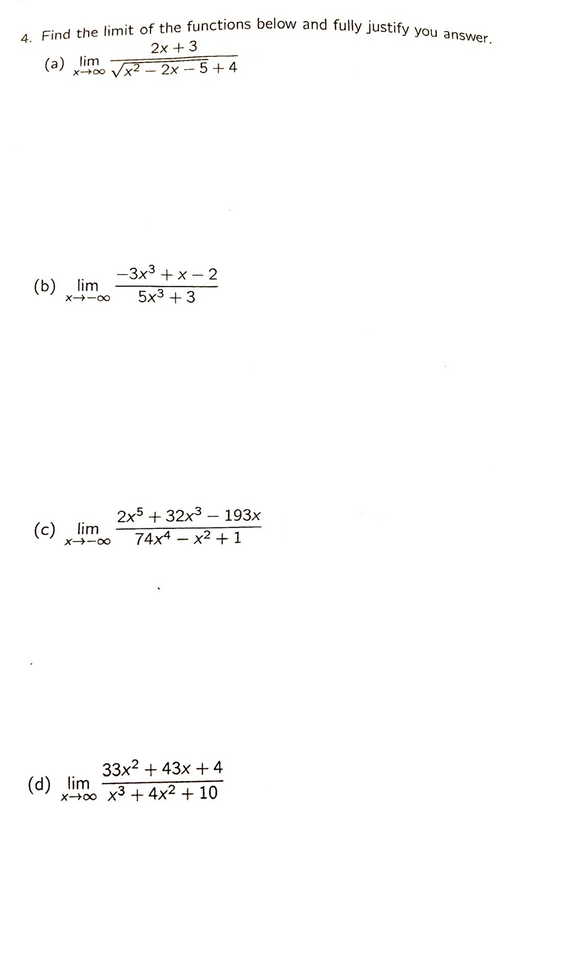
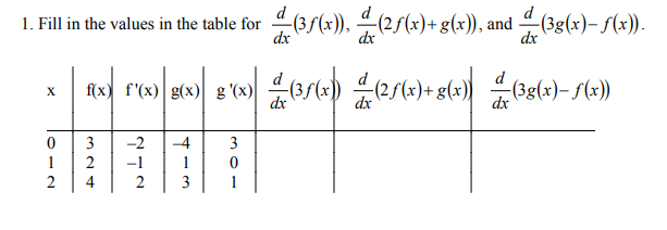
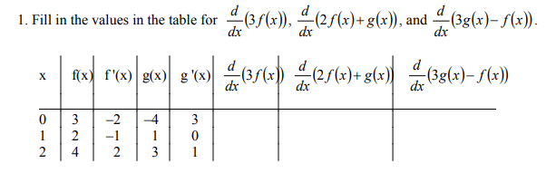
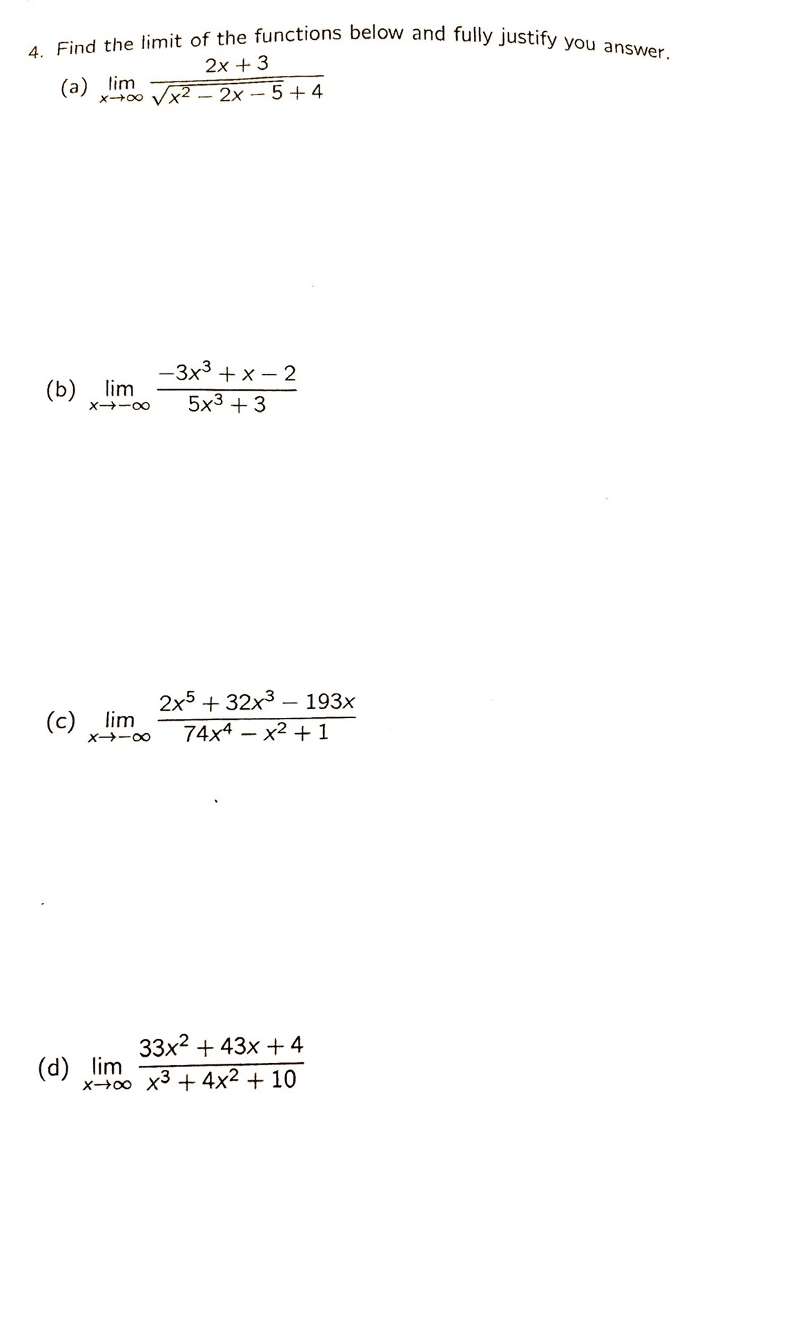
Mathematics Questions and Answers October 27, 2020

Expert-verified solutions to help you succeed

Showing 100 - 200 of 1504
  • 2 / 16