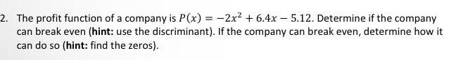
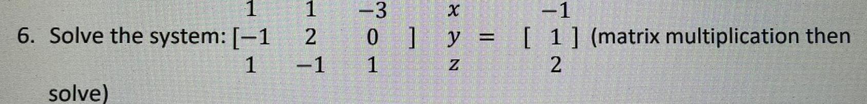
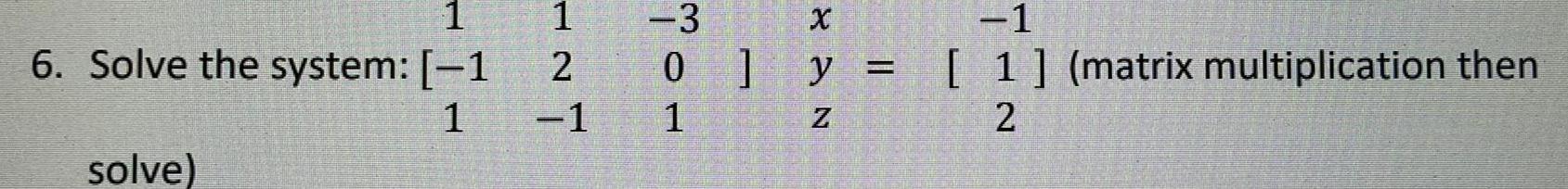
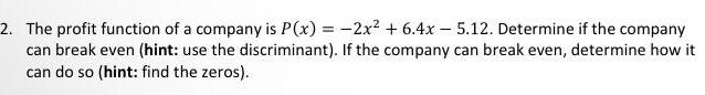
Mathematics Questions and Answers September 23, 2020

Expert-verified solutions to help you succeed

Showing 200 - 300 of 1500
  • 3 / 15