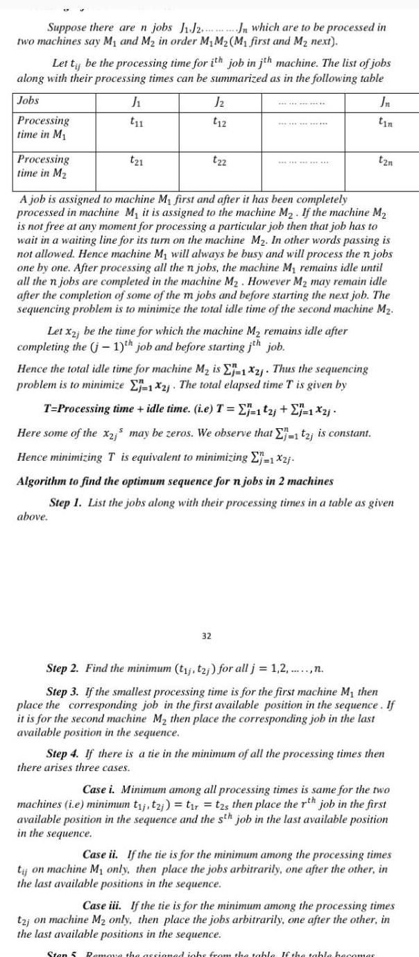
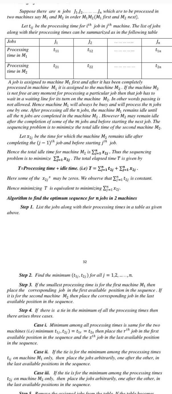
Mathematics Questions and Answers September 25, 2020

Expert-verified solutions to help you succeed

Showing 100 - 200 of 1499
  • 2 / 15