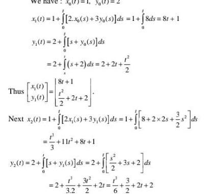
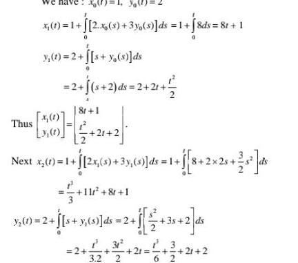
Mathematics Questions and Answers September 27, 2020

Expert-verified solutions to help you succeed

Showing 400 - 500 of 1502
  • 5 / 16