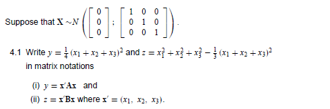
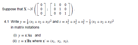
Mathematics Questions and Answers September 28, 2020

Expert-verified solutions to help you succeed

Showing 700 - 800 of 1499
  • 8 / 15