Mathematics Questions and Answers November 09, 2021

Expert-verified solutions to help you succeed

Showing 500 - 600 of 1507
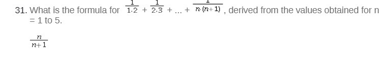
  • 6 / 16