Mathematics Questions and Answers October 01, 2021

Expert-verified solutions to help you succeed

Showing 700 - 800 of 1393
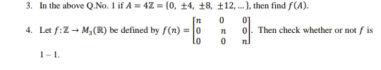
  • 8 / 14