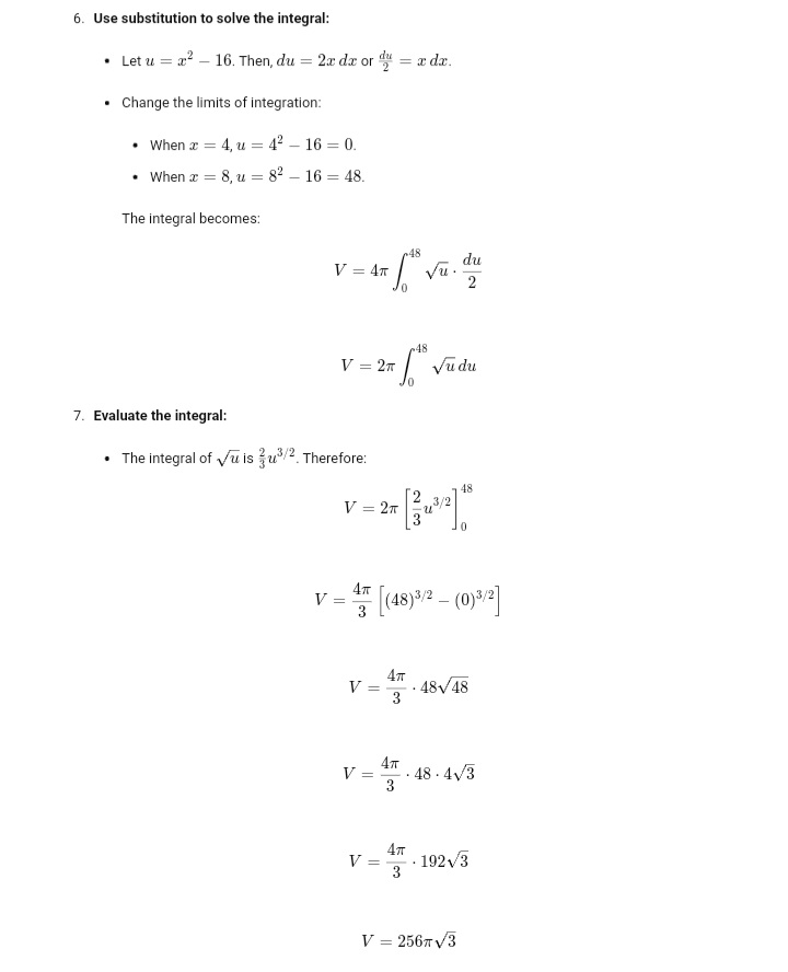
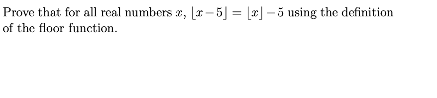
Mathematics Questions and Answers September 13, 2021

Expert-verified solutions to help you succeed

Showing 100 - 200 of 1481
  • 2 / 15