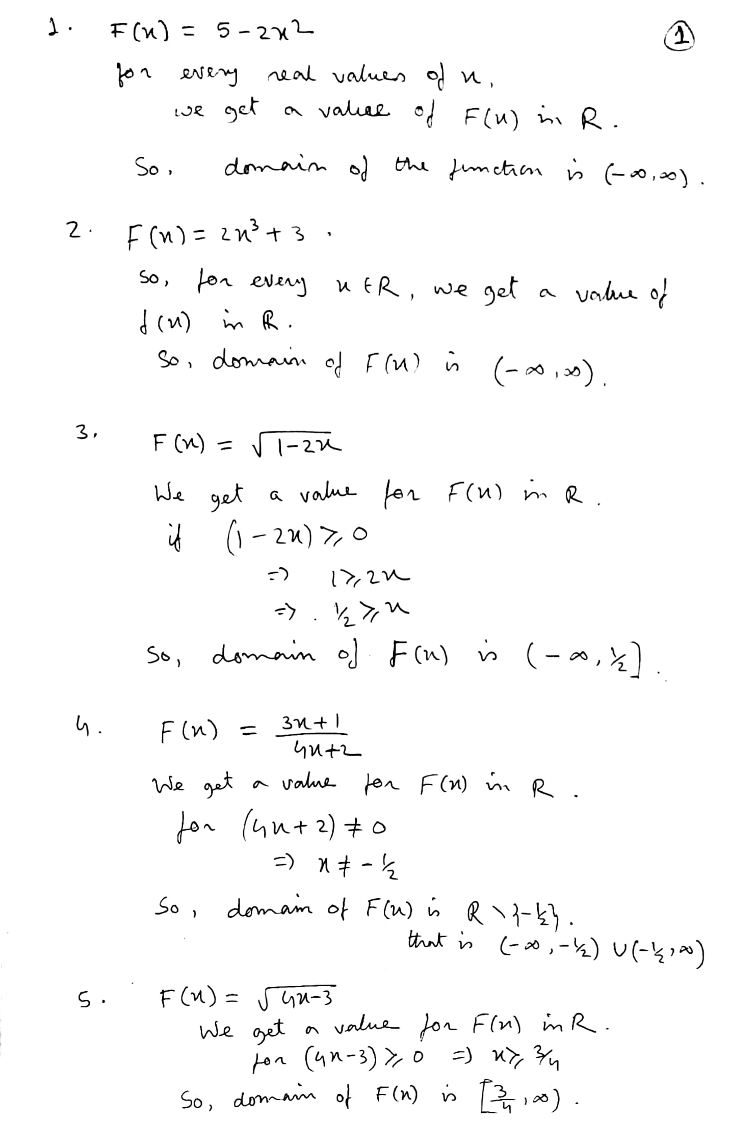
Mathematics Questions and Answers September 14, 2021

Expert-verified solutions to help you succeed

Showing 800 - 900 of 1464
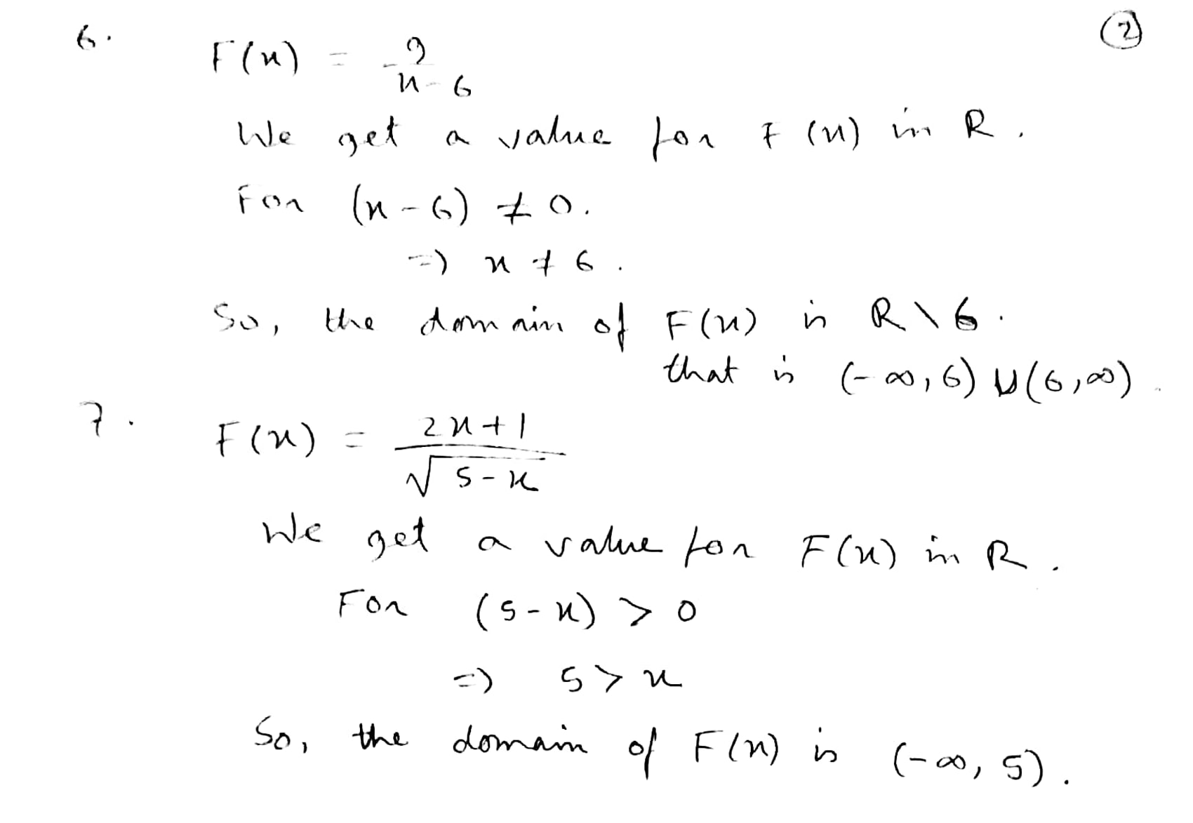
  • 9 / 15