Question: Section 1 -Activated Sludge in a CSTR with Cell Recycle Assume a complete-mix reactor is to be used to treat a wastewater containing a priority



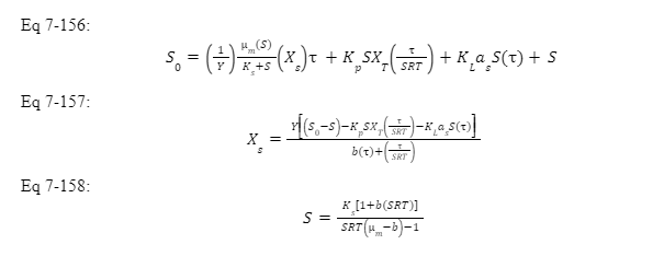
Section 1 -Activated Sludge in a CSTR with Cell Recycle Assume a complete-mix reactor is to be used to treat a wastewater containing a priority pollutant with the following characteristics and other easily degradable organic compounds. The priority pollutant is not very volatile so that losses due to stripping can be ignored. Using the following information determine the fate of the compound in terms of biodegradation losses, and removal in the system effluent, and waste sludge. Hint: you will need to use Eqs. (7-156), (7-157), and (7158) Design data and coefficients: System SRT =5d Reactor MLVSS =2000mg/L Reactor =0.25d Compound characteristics and biokinetic coefficients: Influent concentration =5.0mg/L Kp=15103m3/gm=2.0gVSS/gVSSdKs=0.4g/m3Y=0.6gVSS/gcompoundb=0.08gVSS/gVSSd Eq 7-156: S0=(Y1)Ks+Sm(S)(Xs)+KpSXT(SRT)+KLasS()+S Eq 7-157: Xs=b()+(sRT)r[(s0s)KpSXT(sRT)KLasS()] Eq7158 S=SRT(mb)1Ks[1+b(SRT)] Fill out the table below
Step by Step Solution
There are 3 Steps involved in it
Get step-by-step solutions from verified subject matter experts
