Question: Section 14.7: Problem 6 (1 point) Find all absolute extrema of each function. Enter each point as an ordered pair. e.g., (1.5). If an extreme






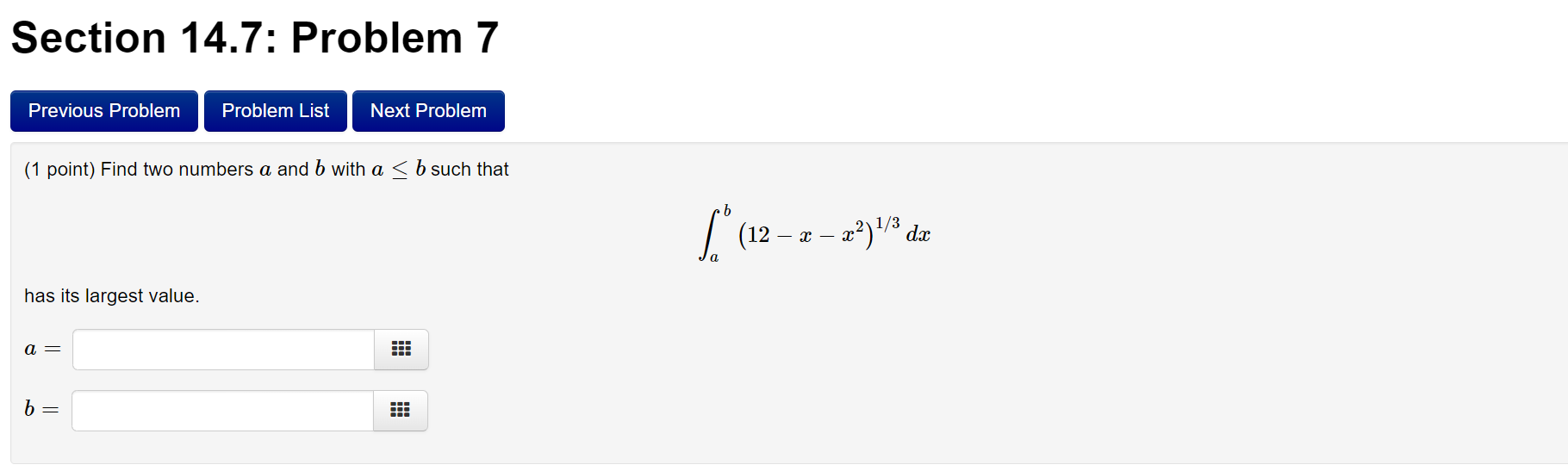
Section 14.7: Problem 6 (1 point) Find all absolute extrema of each function. Enter each point as an ordered pair. e.g., "(1.5)". If an extreme value is attained twice, enter a commaseparated list of ordered pairs. If there are no absolute extrema of a given type, enter "none". D(a:, y) : 3x2 7 7:33; + 63;2 + 9 on the closed triangular region in the rst quadrant bounded by the lines a: : 0, y : 4, y : 1'. Absolute maximum value is 555 , attained at (1', y) : ::= Absolute minimum value is , attained at (as, y) : T(z', y) : 38mg 24973 19y2 on the closed square region 0 g a: g 1, 0 g y g 1. Absolute maximum value is ::: , attained at (1', y) : === Absolute minimum value is , attained at (:5, y) = Section 14.7: Problem 7 Previous Problem Problem List Next Problem (1 point) Find two numbers a and b with a
Step by Step Solution
There are 3 Steps involved in it
Get step-by-step solutions from verified subject matter experts
