Question: seeing help to show work for solution b, c, d, and e thank you!!! 1.19 Suppose x; = p + w; + 9w;_1, where w;
seeing help to show work for solution b, c, d, and e
thank you!!!


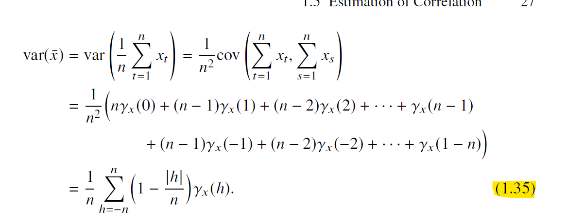
1.19 Suppose x; = p + w; + 9w;_1, where w; ~ wn(0,0'v2,,). (a) Show that mean function is E(x;) = 1.1. (b) Show that the autocovariance function of xI is given by yx(0) = 0%,(1 + 62), \"(1:1) = 0,3,9, and \"(11) = 0 otherwise. (c) Show that xI is stationary for all values of 19 e R. (d) Use (1.35) to calculate var(,\\") for estimating ,u when (i) 6 = 1, (ii) 19 = 0, and (iii) 9 = 1 (e) In time series, the sample size n is typically large, so that @ x 1. With this as a consideration, comment on the results of part ((1); in particular, how does the accuracy in the estimate of the mean [1 change for the three different cases?
Step by Step Solution
There are 3 Steps involved in it
Get step-by-step solutions from verified subject matter experts
