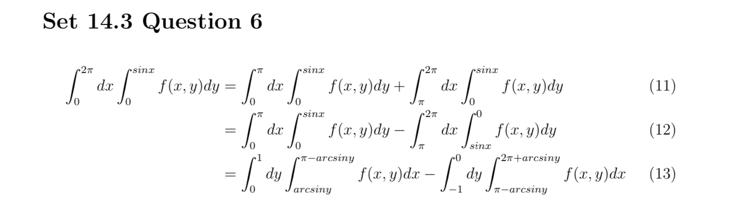
Question: Set 1 4 . 3 . Explain with graph 0 2 d n t 0 s i n x f ( x , y )
Set Explain with graph
Step by Step Solution
There are 3 Steps involved in it
1 Expert Approved Answer
Step: 1 Unlock
Question Has Been Solved by an Expert!
Get step-by-step solutions from verified subject matter experts
Step: 2 Unlock
Step: 3 Unlock
