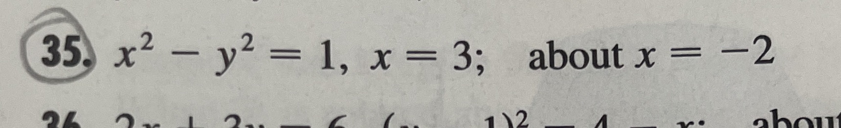
Question: Set up, but do not evaluate, an integral for the volume ofthe solid obtained by rotating the region bounded by the given curves about the

Set up, but do not evaluate, an integral for the volume ofthe solid obtained by rotating the region bounded by the given curves about the specified line.

Step by Step Solution
There are 3 Steps involved in it
Get step-by-step solutions from verified subject matter experts
