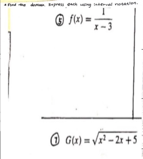
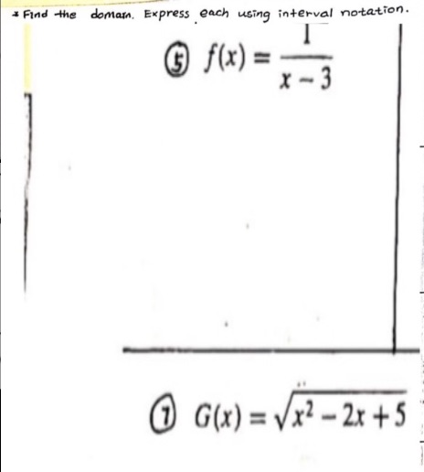
Question: Show all work for problems shown below. EgpreSS

Show all work for problems shown below.

EgpreSS
Step by Step Solution
There are 3 Steps involved in it
Get step-by-step solutions from verified subject matter experts
