Question: Show complete solutions for each problem. Highlight, encircle, or box the final answer. 1. A small business determined that the price-demand and cost functions for

Show complete solutions for each problem. Highlight, encircle, or box the final answer.
1. A small business determined that the price-demand and cost functions for producing and selling x notebooks are given by p(x) = 70 ? 0.25x and C(x) = 0.5x 2 + 10x + 800, respectively, where p and C are in pesos.
a. Find the marginal profit when 20 notebooks are sold.
b. At what production level is the average cost per notebook at a minimum 2. The velocity function of a particle moving along a horizontal line is given by v(t) = t^2 ? 6t + 8, where t ? 0 is in seconds.
a. Determine the time interval(s) at which the particle is speeding up and moving to the left
at the same time.
b. If the particle is located 1/3 unit to the left of the origin at the first instance it changes
direction, find the position function of the particle.
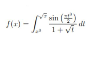
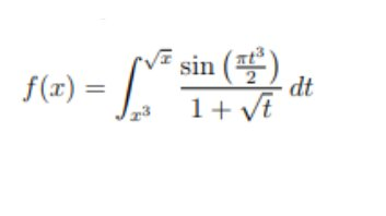
3. Determine the instantaneous rate of change of the function below at x=1.

sin dt 1 + v
Step by Step Solution
There are 3 Steps involved in it
Get step-by-step solutions from verified subject matter experts
