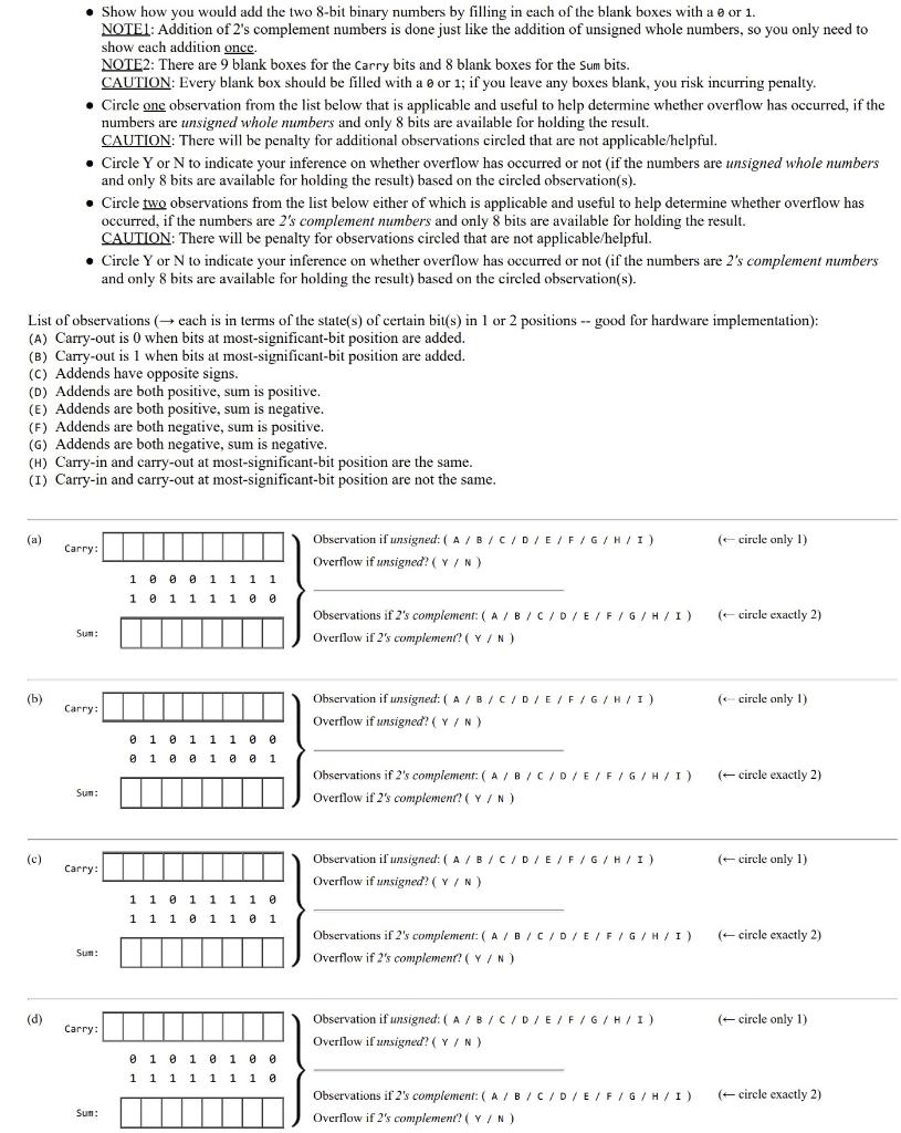
Question: - Show how you would add the two 8-bit binary numbers by filling in each of the blank boxes with a or 1 . NOTE1:

- Show how you would add the two 8-bit binary numbers by filling in each of the blank boxes with a or 1 . NOTE1: Addition of 2's complement numbers is done just like the addition of unsigned whole numbers, so you only need to show each addition once. NOTE2: There are 9 blank boxes for the Carry bits and 8 blank boxes for the Sum bits. CAUTION: Every blank box should be filled with a 6 or 1 ; if you leave any boxes blank, you risk incurring penalty. - Circle one observation from the list below that is applicable and useful to help determine whether overflow has occurred, if the numbers are unsigned whole numbers and only 8 bits are available for holding the result. CAUTION: There will be penalty for additional observations circled that are not applicable/helpful. - Circle Y or N to indicate your inference on whether overflow has occurred or not (if the numbers are unsigned whole numbers and only 8 bits are available for holding the result) based on the circled observation(s). - Circle two observations from the list below either of which is applicable and useful to help determine whether overflow has occurred, if the numbers are 2's complement numbers and only 8 bits are available for holding the result. CAUTION: There will be penalty for observations circled that are not applicable/helpful. - Circle Y or N to indicate your inference on whether overflow has occurred or not (if the numbers are 2's complement numbers and only 8 bits are available for holding the result) based on the circled observation(s). List of observations ( each is in terms of the state(s) of certain bit(s) in 1 or 2 positions -- good for hardware implementation): (A) Carry-out is 0 when bits at most-significant-bit position are added. (B) Carry-out is 1 when bits at most-significant-bit position are added. (C) Addends have opposite signs. (D) Addends are both positive, sum is positive. (E) Addends are both positive, sum is negative. (F) Addends are both negative, sum is positive. (G) Addends are both negative, sum is negative. (H) Carry-in and carry-out at most-significant-bit position are the same. (I) Carry-in and carry-out at most-significant-bit position are not the same. Observation if unsigned: ( A / B/C/D/E/F/G/H/I) (-ircle only 1) Overflow if unsigned? (/N ) Observations if 2 's complement: ( A / B / C / O E / F/G / H/ I ) (circle exactly 2 ) Overllow if 2 's complement? (Y/N ) (b) Observation if unsigned: ( A / B/C/D/E /F/G/H/I) (c-circle only 1) Overflow if unsigned? ( Y/N ) Observations if 2 's complement: ( A / B / C / D / E / F/G / H/ I ) ( circle exactly 2 ) Overflow if 2 's complemen? (Y/N) Observation if unsigned: ( A / B /C/D/E/F/G/H/I)( circle only 1) Overflow if unsigned? (r/N ) Observations if 2 's complement: (A/B/C/D/E/F/G/H/I)( circle exactly 2) Overflow if 2 's complement? (Y/N) (d) Observation if unsigned: ( A / B / C / D / E/F/G/H/I) ( Overllow if unsigned? (Y/N ) Observations if 2 's complement: ( A / B /C/O/E/F/G/H/I) ( circle exactly 2 ) Overflow if 2 's complement? (Y/N)
Step by Step Solution
There are 3 Steps involved in it
Get step-by-step solutions from verified subject matter experts
