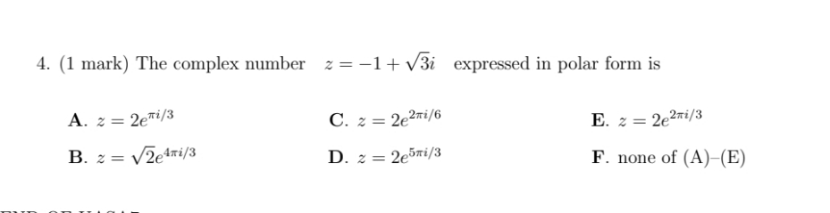
Question: show process pls 4. (1 mark) The complex number 2 = 1 + x/ expressed in polar form is A. z = 28 U. z
show process pls

4. (1 mark) The complex number 2 = 1 + x/ expressed in polar form is A. z = 28\"\" U. z = Eek\"m E. z = 263th3 B. 2 = View?\" D. 2 = 2125'\";3 F. none of (A)(E)
Step by Step Solution
There are 3 Steps involved in it
Get step-by-step solutions from verified subject matter experts
