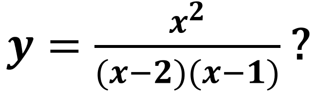
Question: Show solution please, thanks. choose the correct answer (3 items) 1. Which of the following is NOT true about the curve given by the following
Show solution please, thanks. choose the correct answer (3 items)
1. Which of the following is NOT true about the curve given by the following equation?*









Step by Step Solution
There are 3 Steps involved in it
Get step-by-step solutions from verified subject matter experts
