Question: Show STEP BY STEP solution. With readable and understandable solution, please! Thank you. Evaluate the following: 1 . dx csch (cot-1 v) 11. V1 -

Show STEP BY STEP solution. With readable and understandable solution, please! Thank you.

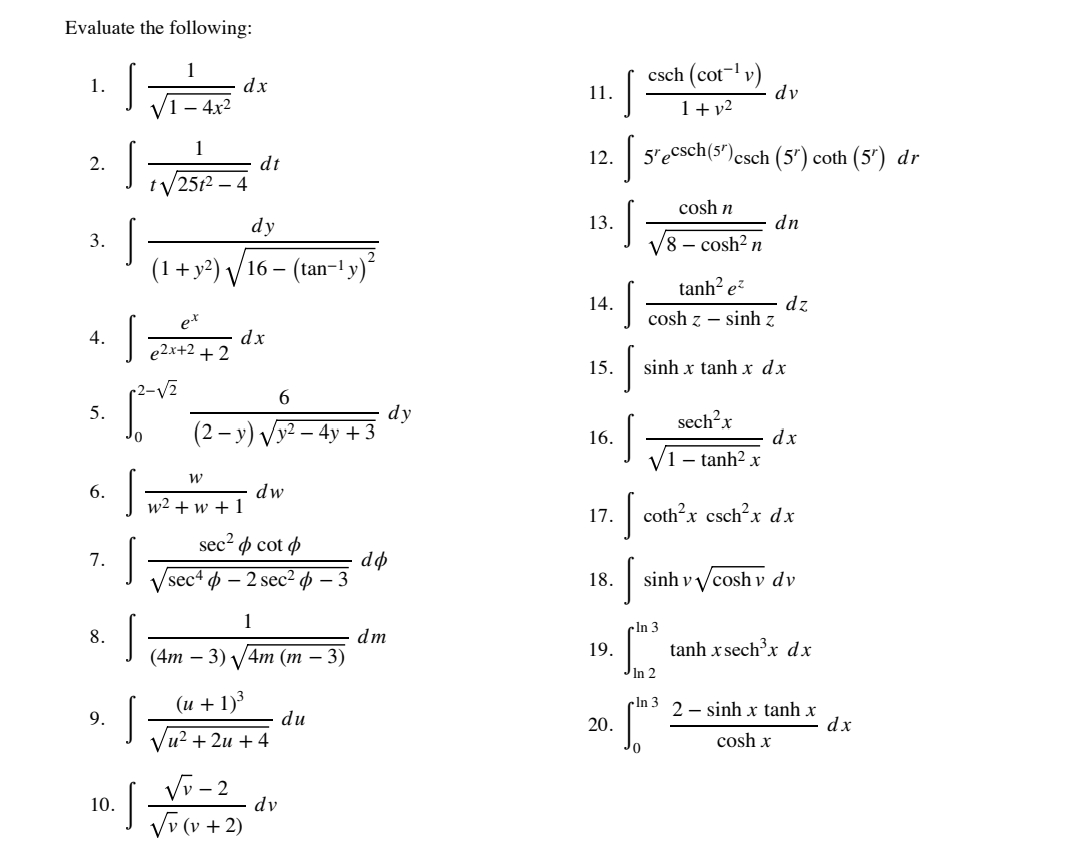
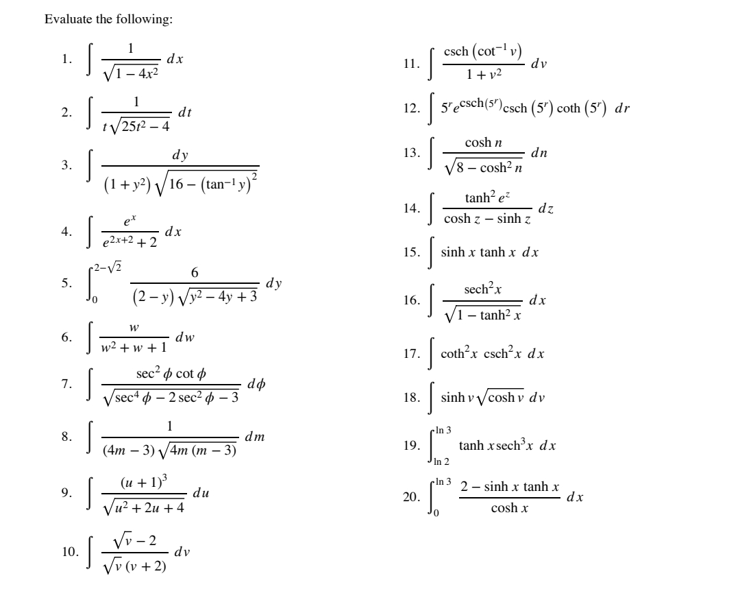
Evaluate the following: 1 . dx csch (cot-1 v) 11. V1 - 4x2 1 + v2 2 . dt 12. 5'ecsch(50) csch (5") coth (5') dr 1 \\/2512 - 4 cosh n dy 13. dn 3. V8 - cosh2 n (1 + y2) 16 - (tan-1 y)2 tanh ez 14. 2p - pt cosh z - sinh z 4 . dx e2x+ 2 + 2 15. sinh x tanh x dx -2-V/2 6 5. dy (2 -y) Vy2 - 4y + 3 sech x 16. d x V1 - tanh2 x W 6 dw w2+ w+1 17. coth x csch x dx sec p cot p 7 . Vsec4 p - 2 sec2 p - 3 18. sinh v coshv dv 8. dm In 3 (4m - 3) v4m (m - 3) 19. tanh xsech x dx JIn 2 (u + 1)3 In 3 9 . du 2 - sinh x tanh x 20 dx Vu2 + 2u + 4 cosh x 10 . Vv - 2 dv Vv (v + 2)
Step by Step Solution
There are 3 Steps involved in it
Get step-by-step solutions from verified subject matter experts
