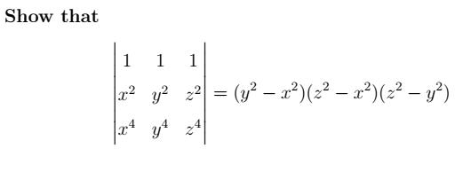
Question: Show that 1 1 x2 y? z2 = (3 a)(2 a)(2 y)

Show that 1 1 x2 y? z2 = (3 a)(2 a)(2 y)
Step by Step Solution
3.50 Rating (153 Votes )
There are 3 Steps involved in it
To prove this we need to evaluate the determinant on the left side and show that it equals the produ... View full answer
Get step-by-step solutions from verified subject matter experts
