Question: Show that the system A x = b with A = [ 1 2 2 4 ] , b = [ 1 3 ] has
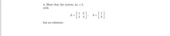
Show that the system
with
has no solutions.
Step by Step Solution
There are 3 Steps involved in it
1 Expert Approved Answer
Step: 1 Unlock
Question Has Been Solved by an Expert!
Get step-by-step solutions from verified subject matter experts
Step: 2 Unlock
Step: 3 Unlock
