Question: Show the work 1. Using the word bank below, complete each of the following definitions. No word is used twice. There are 12 words and





Show the work









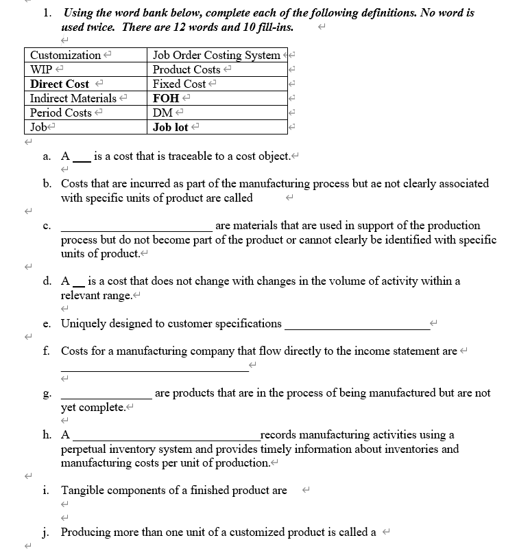
1. Using the word bank below, complete each of the following definitions. No word is used twice. There are 12 words and 10 fill-ins. Customization Job Order Costing System WIP Product Costs t. Direct Cost ~ Fixed Cost Indirect Materials FOH t. to Period Costs DM Jobe Job lot a. A is a cost that is traceable to a cost object. b. Costs that are incurred as part of the manufacturing process but ae not clearly associated with specific units of product are called C. are materials that are used in support of the production process but do not become part of the product or cannot clearly be identified with specific units of product.~ d. A _ is a cost that does not change with changes in the volume of activity within a relevant range.~ e. Uniquely designed to customer specifications f. Costs for a manufacturing company that flow directly to the income statement are g. are products that are in the process of being manufactured but are not yet complete.~ h . A records manufacturing activities using a perpetual inventory system and provides timely information about inventories and manufacturing costs per unit of production.~ 1 . Tangible components of a finished product are J. Producing more than one unit of a customized product is called a2. Romeo Inc., accumulated the following accounting data for the year; ~ SOLVE for the Cost of Goods Manufactured FG Inventory, January 1 $3,200- FG Inventory, December 31 4,000 COGS 4,200- ** this problem can be solved with the given information - you need to manipulate the numbers* A) $5,000- B) $5,800- C) $11,400- D) $7,000- 3. The following costs are included in a recent summary of data for Jade Co: Determine the $ amount of FOH costs Advertising expense $ 85,000- Depreciation expense - factory-building 133,000- DL 250,000 DM 300.0004 Factory Utilities 105,000- Sales 150,000 A) $1,023,000- B) $238,000- C) $655,000- D) $788,000- 4. Which of the following characteristics does not usually apply to process operations systems?~ A) Each unit of product is separately identifiable. B) Partially completed products are transferred between processes.~ C) Different managers are responsible for different processes. D) The output of all processes except the final process is an input to the next process.~5. 'Yamada Company applies factor}T overhead to its production departments on the basis of 9% of direct labor costs. In the Assembly Department, Yamada had $125,{lll of direct labor cost, and in the Finishing Department, Yamada had $35301} of direct labor cost. The entryr to appl}r overhead to these production departments is:' (.l A) Debit Factor},r OverheadAssertibl}? $112,533; debit Factor}.F OverheadFinishing $31,5; credit Work in Process III'L-rtl'y $144,.
Step by Step Solution
There are 3 Steps involved in it
Get step-by-step solutions from verified subject matter experts
