Question: Show theSAs shown in the sketch below, consider a planar semi-infinite heated region bonded to perfect insulation on the left (with thermal conductivity kpi =
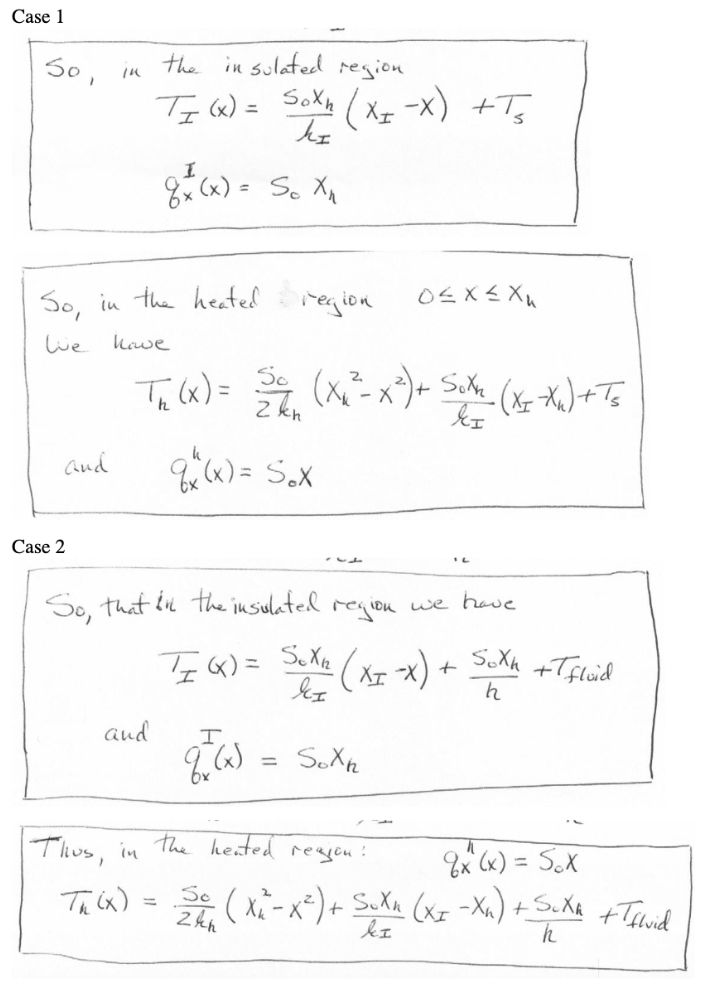
Show theSAs shown in the sketch below, consider a planar semi-infinite heated region bonded to "perfect" insulation on the left (with thermal conductivity kpi = 0) and a non-perfect insulating slab on the right (thermal conductivity kI with a non-zero value). The uniform heat generation per unit volume in the heated region has a value So and the thermal conductivity has a value kh. Assume steady-state conditions are prevailing. Consider two different cases for this problem and in both cases calculate the heat flux and temperature for all values of x from x = 0 to x = xI. (i) For this case the temperature at x = xI is TI(xI) = Ts. (ii) In this case we assume that the temperature at x = xI is not known and instead the surface is convectively cooled with a heat transfer coefficient h and fluid temperature Tfluid.


\fCase 1 So, in the insulated region TI (x ) = Sokn ( xx -X) +Ts hI 8 x ( x ) = So Xx So , in the heated region OsX E XU Wie howe T. ( x ) = 20 (x 2 x 2 )+ Sokn (xx Xx) +'s and 8x ( x ) = Sox Case 2 So , that in the insulated region we have TT (x ) = Sexk ( X -x)+ Sokh +Tfluid h and I by ( x ) = Soxh Thus , in the heated reajen . 8x ( x ) = Sox Thix ) = 2kh So ( X2 - x2 )+ SUXn (XI - Xn) + ScKA + Tilvid h
Step by Step Solution
There are 3 Steps involved in it
Get step-by-step solutions from verified subject matter experts
