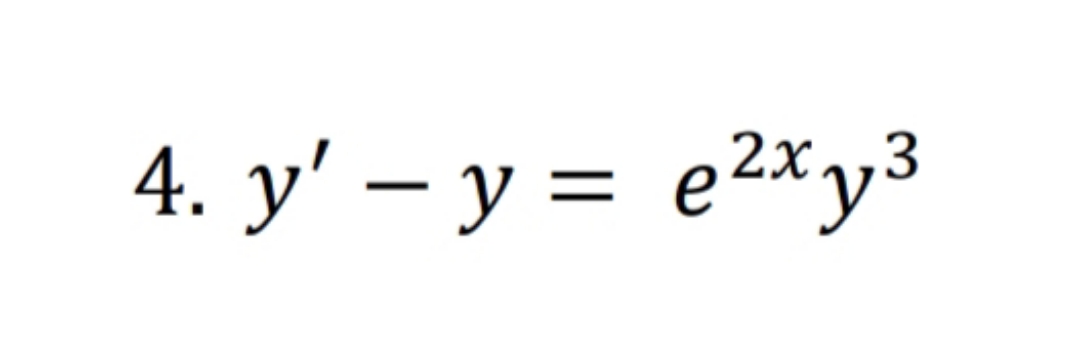
Question: show your COMPLETE SOLUTION on solving the BERNOULLI'S EQUATION and box the final answer. f
show your COMPLETE SOLUTION on solving the BERNOULLI'S EQUATION and box the final answer.

\f
Step by Step Solution
There are 3 Steps involved in it
Get step-by-step solutions from verified subject matter experts
