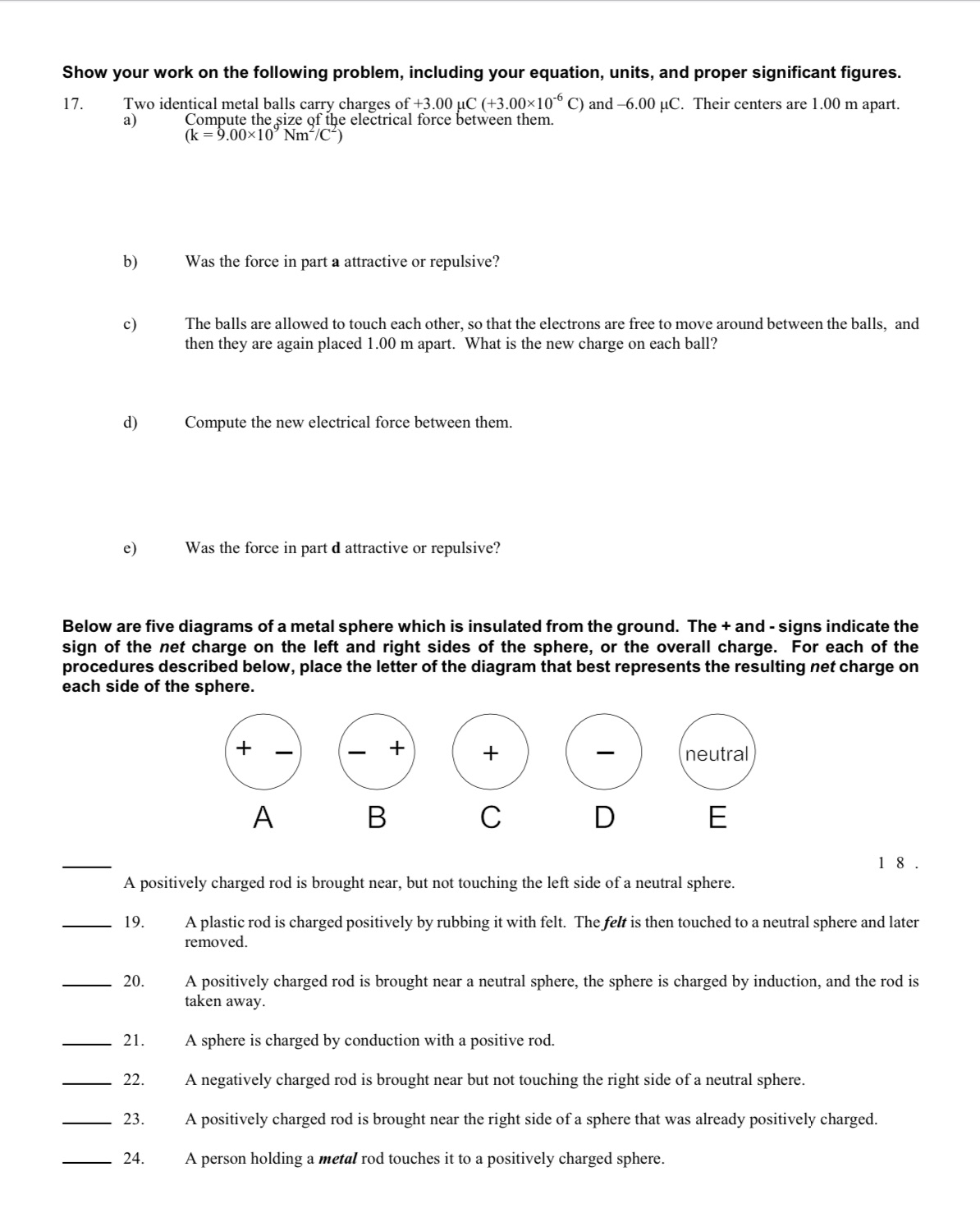
Question: Show your work on the following problem, including your equation, units, and proper signicant gures. 1?. Two identical metal balls carry charges of +3.00 C

Show your work on the following problem, including your equation, units, and proper signicant gures. 1?. Two identical metal balls carry charges of +3.00 C (+3.00X10'6 C) and 6.00 \"C. Their centers are 1.00 m apart. a) b) d) Compute the Ssize 9f the electrical force etween them (1;: .00X10 Nm EC) Was the force in part a attractive or repulsive? The halls are allowed to touch each other, so that the electrons are free to move around between the balls, and then they are again placed 1.00 m apart. What is the new charge on each ball? Compute the new electrical force between them. Was the force in part d attractive or repulsive? Below are ve diagrams of a metal sphere which is insulated from the ground. The + and - signs indicate the sign of the net charge on the left and right sides of the sphere. or the overall charge. For each of the procedures described below, place the letter of the diagram that best represents the resulting net charge on each side of the sphere. @9999 18. A positively charged rod is brought near, but not touching the left side of a neutral sphere. _ 19. A plastic rod is charged positively by rubbing it with felt. The felt is then touched to a neutral sphere and later removed. A positively charged rod is brought near a neutral sphere, the sphere is charged by induction, and the rod is taken away. A sphere is charged by conduction with a positive rod. A negatively charged rod is brought near but not touching the right side of a neutral sphere. A positively charged rod is brought near the right side of a sphere that was already positively charged. A person holding a metal rod touches it to a positively charged sphere
Step by Step Solution
There are 3 Steps involved in it
Get step-by-step solutions from verified subject matter experts
