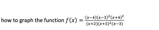
Question: Showing how to graph the function ( I attached the function): 1- Please show in great details step by step how to graph the following
Showing how to graph the function ( I attached the function):
1- Please show in great details step by step how to graph the following function, and how you solve such function.
2-Explain step by step how the final graph answer was obtained ( How you drew the graph)
Also, The answer should follow the guidelines in Section 3.7 in the openstax book ( https://openstax.org/books/precalculus/pages/3-7-rational-functions)
I would appreciate it if you are able to highlight the steps to make them easier to understand. Thank you.

Step by Step Solution
There are 3 Steps involved in it
Get step-by-step solutions from verified subject matter experts
