Question: Shown in the table below is a program which computes the greatest common divisor of two natural numbers by Euclids algorithm and its corresponding flowchart.
Shown in the table below is a program which computes the greatest common divisor of two natural numbers by Euclids algorithm and its corresponding flowchart.

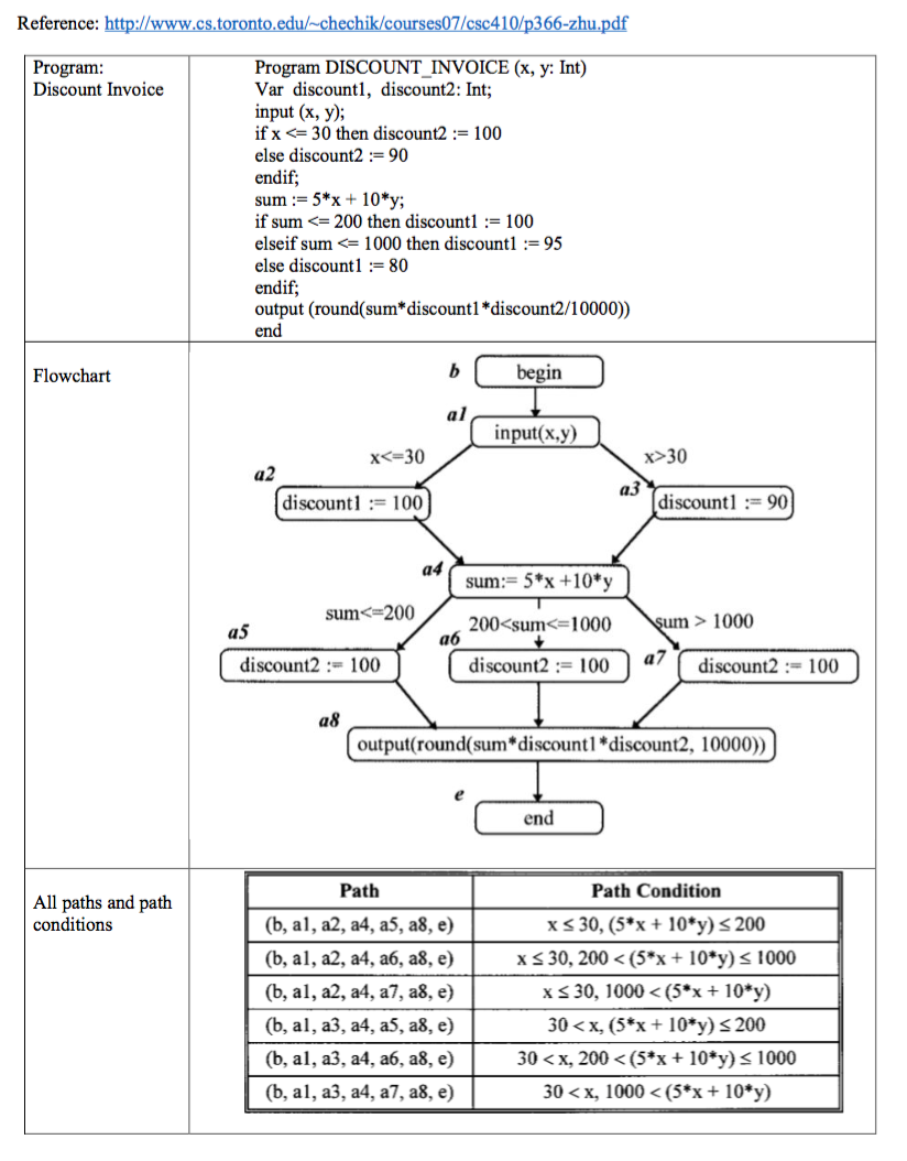
Your task is to create a table to show all paths and corresponding path conditions for the above program. Reference: http://www.cs.toronto.edu/~chechik/courses07/csc410/p366-zhu.pdf See an example.

Step by Step Solution
There are 3 Steps involved in it
Get step-by-step solutions from verified subject matter experts
