Question: sider the following program segment. / / Input: A positive integer n while p s n do return p [ 2 points ] What is
sider the following program segment. Input: A positive integer n
while p s n do
return p points What is the basic operation? How many times it is executed for n
basic operation is the addition at line
it is execubed times becanse is increased
b in each iteration
points What is the efficiency of the algorithm? Show your work in detail.
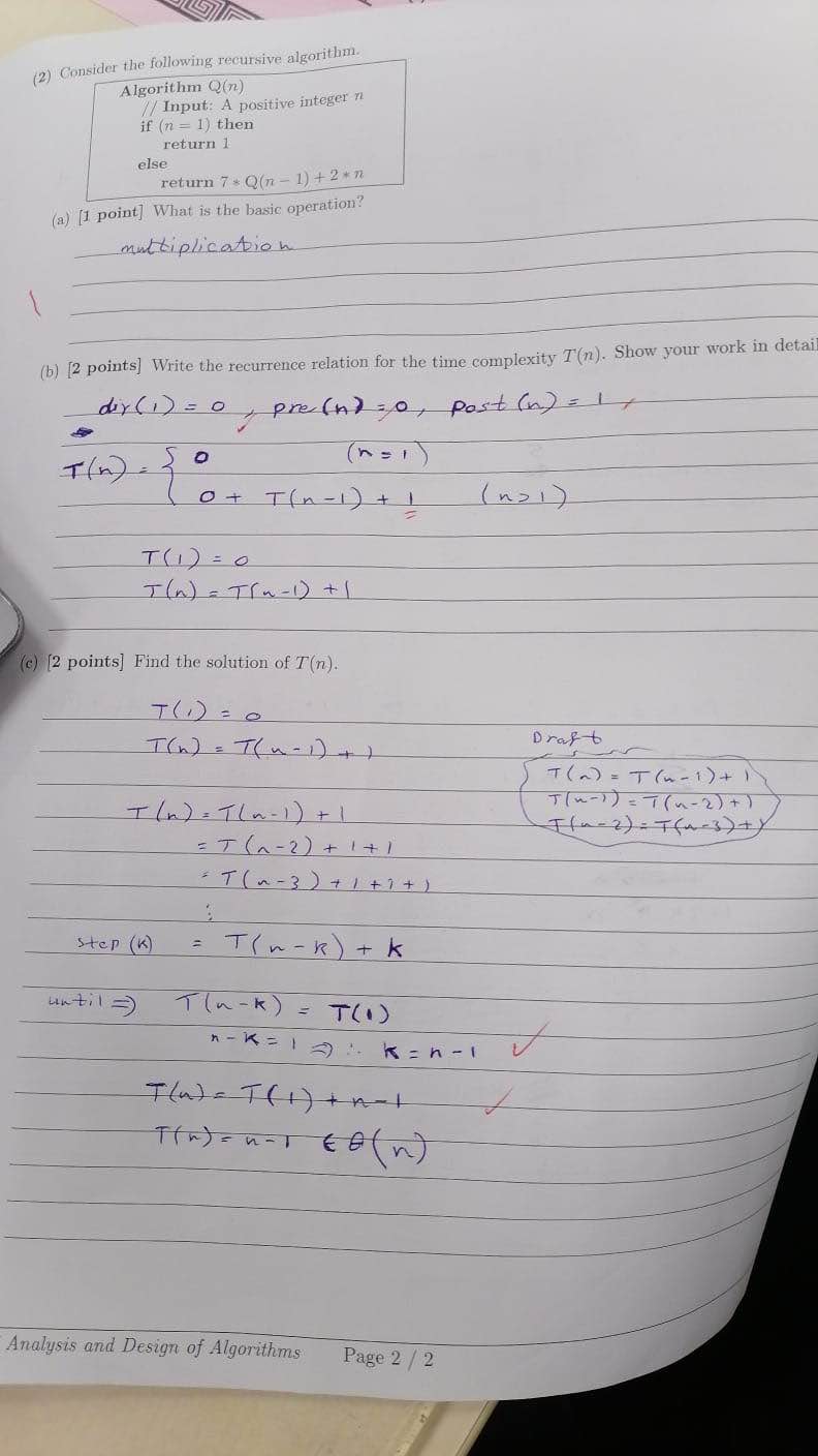
Consider the following recursive algorithm. Imput: A positive integer n return return Qnna point What is the basic operation?
muttiplication
b points Write the recurrence relation for the time complexity Show your work in detai
dirprerpost
c points Find the solution of
vdotsT
Draft
until
:
Note: please explain how to solove these questions in detailed, and what should I keep in mind while solving them
Step by Step Solution
There are 3 Steps involved in it
1 Expert Approved Answer
Step: 1 Unlock
Question Has Been Solved by an Expert!
Get step-by-step solutions from verified subject matter experts
Step: 2 Unlock
Step: 3 Unlock
