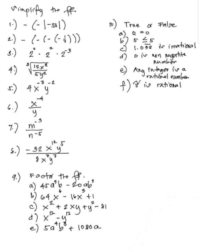
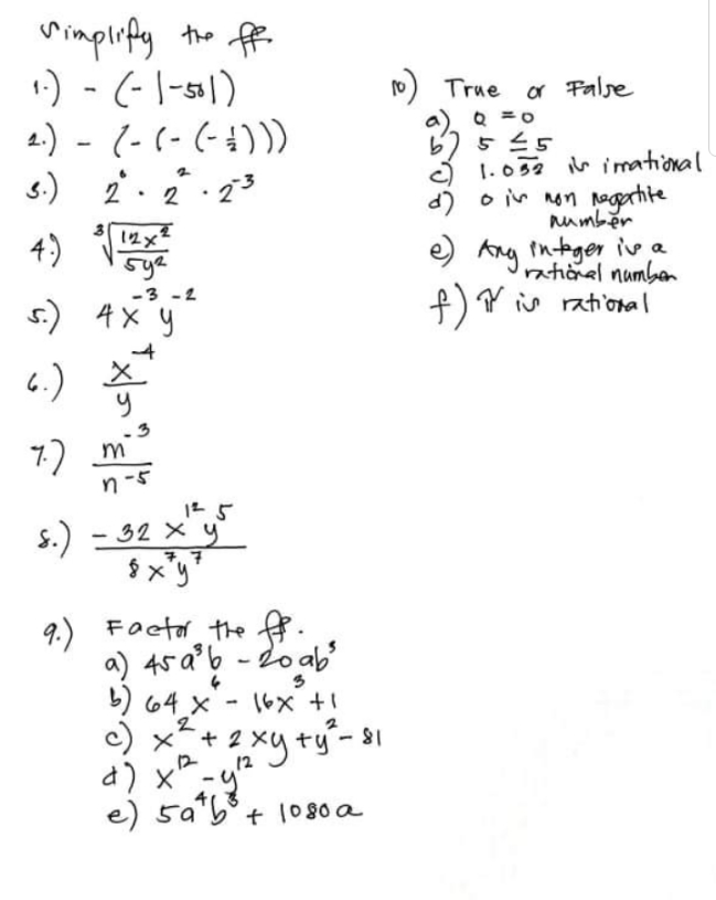
Question: simplify and factor the ff. simplify the fe. 1.) - (- 1-501) 10 ) True or False 2 .) - (- ( - (- 1)

simplify and factor the ff.

simplify the fe. 1.) - (- 1-501) 10 ) True or False 2 .) - (- ( - (- 1) ) ) a Q = 0 b ) 525 s . ) 2 . 2 .23 ( ) 1. 032 i irrational d ) ois mon regpartite 4 . ) 12x2 number e) Any integer is a 5 . ) -3 -2 rational number 4 x y f ) 1 is rational 6. ) X 3 7. ) m n s . ) - 32 x y 8xy 9.) Factor the ff. a ) 45 0'6 - 20 abs b) 64 x - 16X +1 c) x - + 2 x y ty" - 81 d ) x - 9 12 e) 506 + 1080 a
Step by Step Solution
There are 3 Steps involved in it
Get step-by-step solutions from verified subject matter experts
