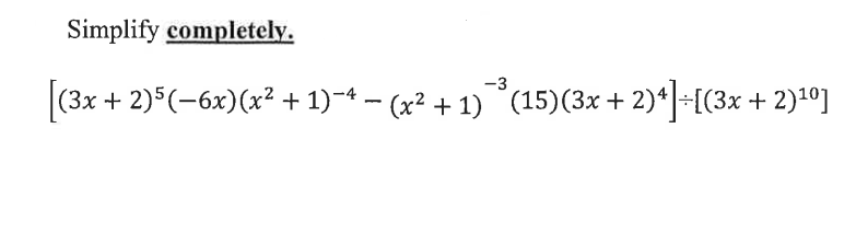
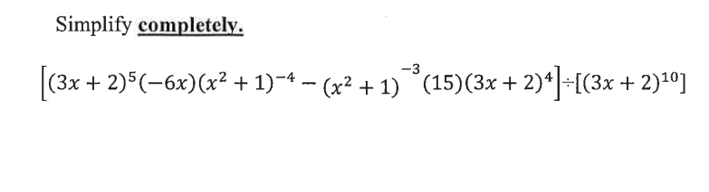
Question: Simplify completely. [(3x - (3x + 2)5(6x)(x + 1) (x + 1)(15)(3x+2)4]+[(3x + 2)] -3
![Simplify completely. [(3x - (3x + 2)5(6x)(x + 1) (x + 1)(15)(3x+2)4]+[(3x](https://s3.amazonaws.com/si.experts.images/answers/2024/06/6660f04205d3d_9936660f041e3aa9.jpg)
![+ 2)] -3](https://s3.amazonaws.com/si.experts.images/answers/2024/06/6660f042426e8_9946660f04231042.jpg)
Simplify completely. [(3x - (3x + 2)5(6x)(x + 1) (x + 1)(15)(3x+2)4]+[(3x + 2)] -3
Step by Step Solution
There are 3 Steps involved in it
Get step-by-step solutions from verified subject matter experts
