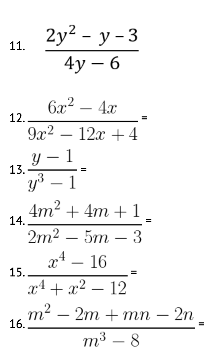
Question: Simplify each rational expression. f11. 2y2 - y - 3 4y - 6 6x2 - 4x 12. 9x2 - 12x +4 y - 1 13.
Simplify each rational expression.


\f11. 2y2 - y - 3 4y - 6 6x2 - 4x 12. 9x2 - 12x +4 y - 1 13. E - 1 Am2 + 4m + 1 14. = 2m2 - 5m - 3 x4 - 16 15. = 24+ 22 - 12 m- - 2m + mn - 2n 16. = m3 - 8
Step by Step Solution
There are 3 Steps involved in it
Get step-by-step solutions from verified subject matter experts
