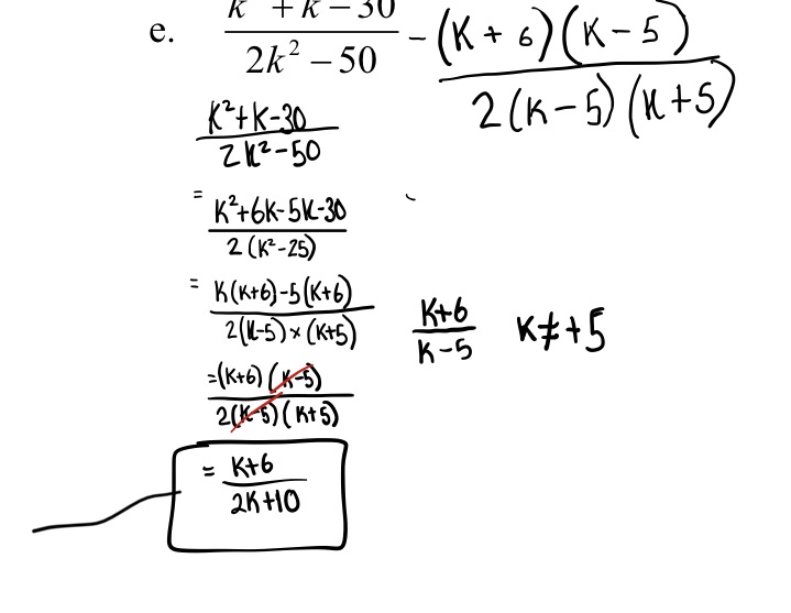
Question: Simplify each rational expression. Write in factored form where possible. State the non-permissible values. (12 marks - 2 marks each)Did I answer this correctly? If
Simplify each rational expression. Write in factored form where possible. State the non-permissible values. (12 marks - 2 marks each)Did I answer this correctly? If not please help with steps

\f
Step by Step Solution
There are 3 Steps involved in it
Get step-by-step solutions from verified subject matter experts
