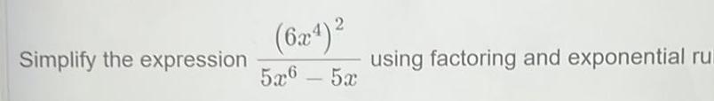
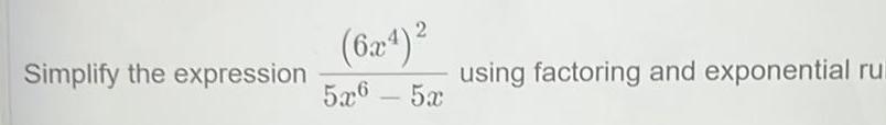
Question: Simplify the expression 624 5x6 5x using factoring and exponential rul using factoring and exponential ru Simplify the expression 5:r6


Simplify the expression 624 5x6 5x using factoring and exponential rul
using factoring and exponential ru Simplify the expression 5:r6
Step by Step Solution
There are 3 Steps involved in it
Get step-by-step solutions from verified subject matter experts
