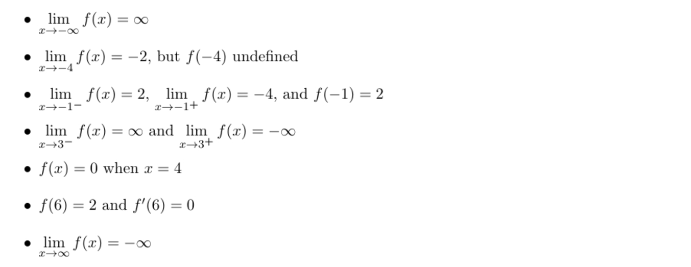
Question: Sketch a graph o f a function, f , must have the following properties. Draw i n vertical asymptote ( s ) i f needed.
Sketch a graph a function, must have the following properties.
Draw vertical asymptote needed.
but undefined
and
and
when
and
Step by Step Solution
There are 3 Steps involved in it
1 Expert Approved Answer
Step: 1 Unlock
Question Has Been Solved by an Expert!
Get step-by-step solutions from verified subject matter experts
Step: 2 Unlock
Step: 3 Unlock
