Question: Smithson Mining operates a silver mine in Nevada. Acquisition, exploration, and development costs totaled $ 7 . 4 million. After the silver is extracted in
Smithson Mining operates a silver mine in Nevada. Acquisition, exploration, and development costs totaled $ million. After the silver
is extracted in approximately five years, Smithson is obligated to restore the land to its original condition, including constructing a
wildlife preserve. The company's controller has provided the following three cash flow possibilities for the restoration costs:
$ probability; $ probability; and $ probability. The company's creditadjusted, riskfree
rate of interest is
What is the initial cost of the silver mine?
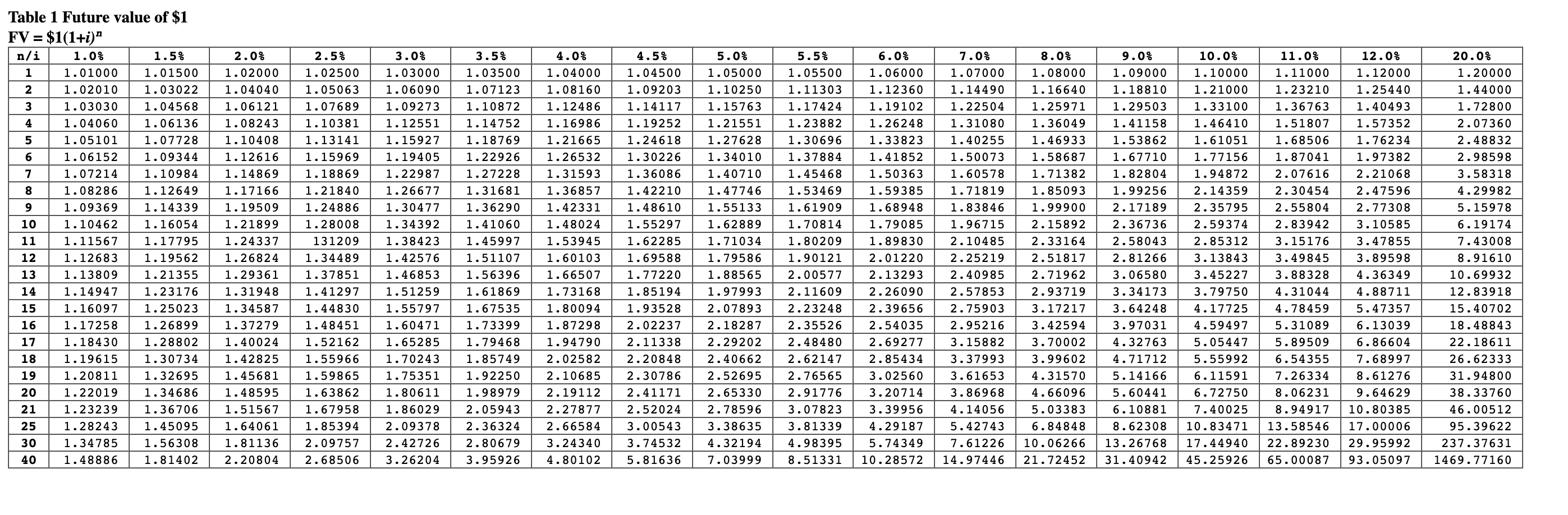
Note: Use appropriate factors from the tables provided. Do not round intermediate calculations. Enter your answers in whole
dollars. FV of $ PV of $ FVA of $ PVA of $ FVAD of $ and PVAD of $
Step by Step Solution
There are 3 Steps involved in it
1 Expert Approved Answer
Step: 1 Unlock
Question Has Been Solved by an Expert!
Get step-by-step solutions from verified subject matter experts
Step: 2 Unlock
Step: 3 Unlock
