Question: Software Testing fifth edition (A Craftsman's Approach approach) chapter 3 question answer needed. Please answer the below question which is question 5. Thanks 5. The
Software Testing fifth edition (A Craftsman's Approach approach) chapter 3 question answer needed. Please answer the below question which is question 5. Thanks



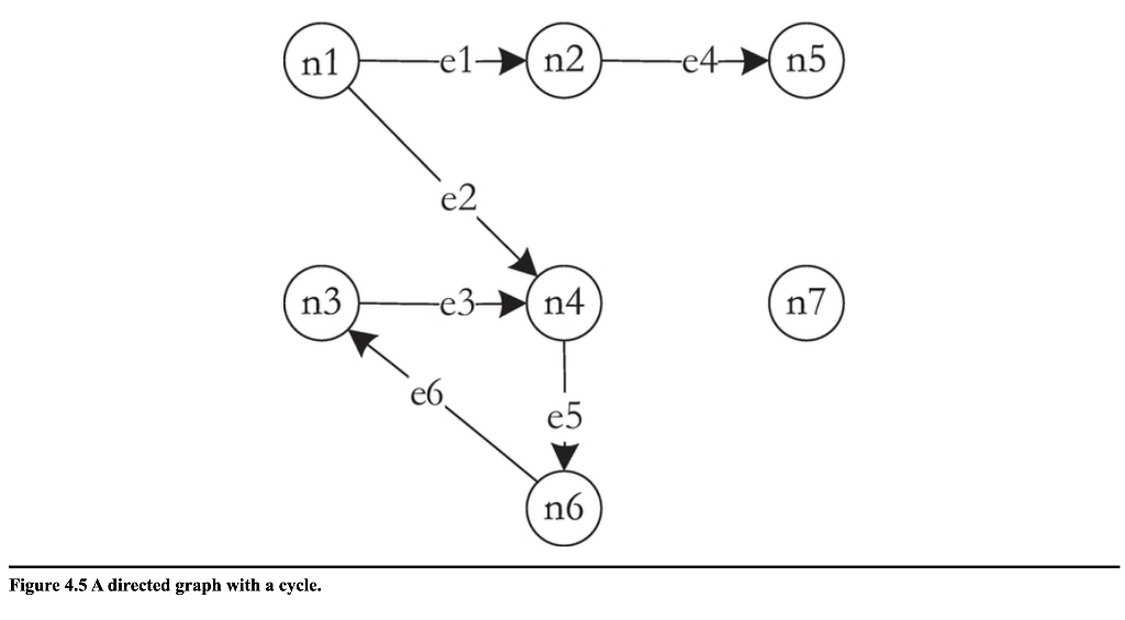
5. The digraphs in Figure 4.17 were obtained by adding nodes and edges to the digraph in Figure 4.5. Compute the cyclomatic complexity of each new digraph and explain how the changes affected the complexity. Figure 4.5 A directed graph with a cycle. Figure 4.17 Effect of adding edges on cyclomatic complexity
Step by Step Solution
There are 3 Steps involved in it
Get step-by-step solutions from verified subject matter experts
