Question: Solution format: PERFORMANCE TASK #1 (10 points) Evaluate the following using integration by substitution. Be guided on the rubric below. It will be applied in




Solution format:




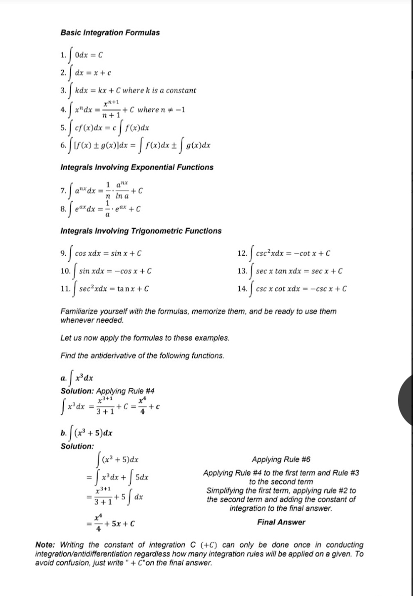
PERFORMANCE TASK #1 (10 points) Evaluate the following using integration by substitution. Be guided on the rubric below. It will be applied in grading each item. 1. V 2x3 - 5 . 2x 2 dx 2. 5 (4x + 3)+ dx Rubric Indicators Solution (3 points) 4 - the solution is 2 to 3 - the solution is 0 to 1 - the complete and incomplete, and some solution is correct part/s of the solution ncorrect and/or no is/are incorrect. solution is written Final Answer (2 2 - the final answer 1 - the final answer is 0 - the final points) is correct, expressed correct but not answer is incorrect in simplest form and expressed in simplest the unit is indicated form and the unit is not (if necessary). written.WRITTEN WORK #1 (25 points) PART A. TRUE or FALSE Write FACT if the statement is correct, otherwise, BLUFF if not. (10 points) 1-2. Givenf f(x)dx = F(x) + C, dx is called the integrand. 3-4. Integration by substitution is used when an integral contains some functions and its derivatives. 5-6. Evaluatingf , the answer is - + c. 7-8. The process of finding all the antiderivatives F of a function f is called antidifferentiation, which we shall call differentiation. 9-10. Evaluatingf 75* dx, the answer is 7/7 5 PART B. MULTIPLE CHOICE Evaluate the following indefinite integrals. Choose the letter that corresponds to the antiderivative of the given. Write the letter of the correct answer on the blank provided before each item. Show your solution on a separate scratch paper. (15 points) 11. (7x6 - 2x* + 5x2 - 6)dx A. 7x7 _ 2x5 4 5x" + C C. 12x5 8x 3 5 3 + 10x + c B. x7 _ 2x5 D. 42x5 - 8x3 + 10x 12. +odx A S_ _ 4 ets + c ze4x + c B. - +rtc 3 28 2e4x + C 13. (9sec x - 2secxtanx) dx A. 9 tan x + 2 secx + c C. 18 secx + 2 secx + cC. 4 B. 9 tan x - 2 secx + c D. 18 secx - 2 secx + c 14. (3cos x - 7sinx - 2csc x) dx A. 3 sin x - 7 cos x + 2 cotx. C. 3 sin x + 7 cos x + 2 cotx. 4 B. 3 sin x + 7 cos x - 2 cotx D. -3 sinx + 7 cosx + 2 cotx. 15. 5x(10x-6 - 4x-3) dx A. - 25 20 + C 2x4 C. 45 + 20 + C. 4 x x 25 B. -- 20 25 2x4 -+ CBasic Integration Formulas 1. Odx = C 2 . dx = x+ c 3. kdx = kx + C where k is a constant 4. ( x dx = * n+ 1+C wheren # -1 5. ( cf ( x)dx = c [ f(x)dx 6. ( If (x) + 9(x)|dx = [ f()dx+ [ g(x)dx Integrals Involving Exponential Functions 7. ( andx = 1. anx n In a -+C 8. eax dx = =. eax + C Integrals Involving Trigonometric Functions 9. | cos xdx = sin x + C 12. csc2xdx = -cot x + C 10. sin xdx = -cos x + C 13. sec x tan xdx = sec x + C 11. sec xdx = tanx + C 14. csc x cot xdx = -csc x + C Familiarize yourself with the formulas, memorize them, and be ready to use them whenever needed. Let us now apply the formulas to these examples. Find the antiderivative of the following functions. a. x3 dx Solution: Applying Rule #4 = 3+1 b. (x3 + 5 ) dx Solution: (x3 + 5 ) dx Applying Rule #6 = x3dx + 5dx Applying Rule #4 to the first term and Rule #3 to the second term x3+1 Simplifying the first term, applying rule #2 to -3+1+5 dx the second term and adding the constant of integration to the final answer. x4 - + 5x + C Final Answer Note: Writing the constant of integration C (+C) can only be done once in conducting integration/antidifferentiation regardless how many integration rules will be applied on a given. To avoid confusion, just write " + C"on the final answer.c. 7x* dx Solution: Applying Rule #3 then Rule #4 [ 7xax = 7 fx'dx = 7(5) =35+c d. (5x7 - 3.x5 + 2x2 - 4)dx Solution: (5x7 - 3x5 + 2x2 - 4) dx Applying Rule #6 and #3 simultaneously =5 x'dx - 3 x5dx + 2 x'dx - 4 / dx Applying Rule #4 to first to third term and Rule #2 to the last term 5x8 3x6 2x3 - - 4x Simplifying and adding the constant of 8 6 3 integration to the final answer 5x8 1x6 2x3 8 2 3 - 4x + C Final Answer dx e. Solution: In integration, we are fitting the given to the formula. We need to rewrite the given by algebraic manipulation. dx x-5dx (Applying Rule #4) x-5+1 x-5dx = 5+1 = 4x4 + C f. Vxax Solution: Vidx = xidx (Applying Rule #4) = x . Vx + C 7+1 Note: If the given has an exponent that is less than 1 (fraction), express your final answer into radical form and make sure that the given is in its simplest form. g. Solution: Vidx = -dx = x 3dx (Applying Rule #4) x 3+1 -3 -3 -3+1 h. (x2 + 5x+ 2)(2x + 1)dx Solution: Since there is no product rule nor quotient rule integration, we need to simplify the given and fit to the integration formulas. (x2 + 5x + 2)(2x + 1)dx Simplifying the given =(2x3 + x2 + 19x + 2)dx Applying Rule #6 and #3 simultaneously
Step by Step Solution
There are 3 Steps involved in it
Get step-by-step solutions from verified subject matter experts
